中级经济师经济基础知识
全站导航
首页
试卷库
试题库
试卷导航
建筑工程
职业资格
公务员
财会类
医卫类
外语类
计算机类
学历类
试题导航
建筑工程
职业资格
公务员
财会类
医卫类
外语类
计算机类
学历类
全部
单选题
多选题
关于货币需求的四个方程式中,称为凯恩斯方程式的是()。
关于货币需求的四个方程式中,称为弗里德曼方程式的是()。
非居民个人的工资、薪金所得,以每月收入额减除费用()元后的余
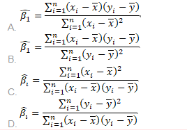
利用样本数据估计的一元线性回归方程表达式是()。
(2013年真题)商业银行的资产业务包括()。
(2019年真题)导致市场失灵的主要原因有().
(2017年真题)下列财务比率指标中,属于衡量企业盈利能力的
(2012年真题)下列金融业务中,属于商业银行中间业务的有(
(2014年真题)下列关于实行价格歧视基本条件的说法中,正确
首页
上一页
1
...
27
28
29
...
1919
下一页
末页