题目详情

关于货币需求的四个方程式中,称为弗里德曼方程式的是( )。

中级经济师经济基础知识,章节练习,中级经济师基础知识2

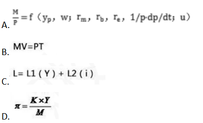
  • A.见图A
  • B.见图B
  • C.见图C
  • D.见图D

正确答案及解析

正确答案
A
解析

中级经济师经济基础知识,章节练习,中级经济师基础知识2是弗里德曼货币需求函数。选项B是费雪方程式。选项C是凯恩斯的货币需求函数。选项D是剑桥方程式。

你可能感兴趣的试题

单选题

下列关于工程监理单位和监理人员职责的表述中,正确的是()。

  • A.工程监理人员认为工程施工不符合工程设计要求、施工技术标准和合同约定的,有权要求施工企业整改
  • B.工程监理人员发现工程设计不符合建筑工程质量标准或者合同约定的质量要求的,有权要求设计单位改正
  • C.未经总监理工程师签字,建筑材料、建筑构配件和设备不得在工程上使用或安装
  • D.工程监理单位在实施监理过程中,发现存在安全事故隐患且情况严重的,应当及时向有关主管部门报告
查看答案
单选题

小王于2016年1月1日购买一款期限1年、到期一次性支付本息的银行理财产品,初始投资2万元。该产品按复利每季度计息一次,年利率为8%。则到期后小王一共能获得本息()元。

  • A.20400.00
  • B.21600.00
  • C.21648.64
  • D.27209.79
查看答案
单选题

在商业银行资产负债管理方法中,用来衡量银行资产与负债之间重定价期限和现金流量到期期限匹配情况的方法是()分析法。

  • A.敞口限额
  • B.久期
  • C.情景模拟
  • D.缺口
查看答案
单选题

下面所列工程建设定额中,属于按定额编制程序和用途分类的是()。

  • A.机械台班消耗定额
  • B.行业通用定额
  • C.投资估算指标
  • D.补充定额
查看答案
多选题

下列假设条件中,属于布莱克斯科尔斯期权定价模型假定的有()。

  • A.无风险利率为常数
  • B.没有交易成本、税收和卖空限制,不存在无风险套利机会
  • C.标的资产在期权到期之前可以支付股息和红利
  • D.市场交易是连续的
  • E.标的资产价格波动率为常数
查看答案

相关题库更多 +