题目详情

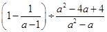
先化简,再求值:小学教师招聘,章节练习,学科章节,其中a=-1。

正确答案及解析

正确答案
解析

原式小学教师招聘,章节练习,学科章节

小学教师招聘,章节练习,学科章节时,原式小学教师招聘,章节练习,学科章节

你可能感兴趣的试题

单选题

“有为才有位,有位更有为”,这一看法给我们的启示是( )

  • A.实践决定认识,认识对发展具有推动作用
  • B.实现人生价值必须先要实现人的自我价值
  • C.人生真正价值在于社会价值与自我价值的统一
  • D.要发挥主观能动性,要不断积累自我价值
查看答案
单选题

历史唯物主义认为人的价值在于( )

  • A.个人的自我创造和自我实现
  • B.个人的自我选择和自由发展
  • C.个人主体性的增强和摆脱社会的制约
  • D.个人对社会的贡献和社会对个人的尊重
查看答案
单选题

对立统一规律揭示了事物发展的( )。

  • A.辩证形式
  • B.趋势和道路
  • C.不同状态
  • D.源泉和动力
查看答案
多选题

矛盾的普遍性与特殊性的关系是( )

  • A.一般与个别的关系
  • B.整体与局部的关系
  • C.绝对与相对的关系
  • D.可以相互转化的关系
查看答案
单选题

在认识过程中具有更为重要意义的飞跃是指()

  • A.从外在形象到内在本质的飞跃
  • B.从个性认识到共性认识的飞跃
  • C.从肯定阶段到否定阶段的飞跃
  • D.从理性认识到实践的飞跃
查看答案

相关题库更多 +