题目详情

甲、乙两个量杯内各盛有相同数量的水,从甲杯倒入乙杯20克后,甲杯水的重量相当于乙杯水的小学教师招聘,章节练习,学科章节,原来每杯有水_____克。

正确答案及解析

正确答案
解析

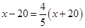
设原来每杯有水x克,则小学教师招聘,章节练习,学科章节,解之得小学教师招聘,章节练习,学科章节

你可能感兴趣的试题

单选题

“有为才有位,有位更有为”,这一看法给我们的启示是( )

  • A.实践决定认识,认识对发展具有推动作用
  • B.实现人生价值必须先要实现人的自我价值
  • C.人生真正价值在于社会价值与自我价值的统一
  • D.要发挥主观能动性,要不断积累自我价值
查看答案
单选题

历史唯物主义认为人的价值在于( )

  • A.个人的自我创造和自我实现
  • B.个人的自我选择和自由发展
  • C.个人主体性的增强和摆脱社会的制约
  • D.个人对社会的贡献和社会对个人的尊重
查看答案
多选题

“没有抽象的真理,真理总是具体的。”这一思想可以理解为( )。

  • A.真理的形成不需要抽象概括
  • B.真理不是抽象不变的公式
  • C.真理有其适用的具体范围和条件
  • D.真理体现了主观和客观,认识和实践的具体的、历史的统一
查看答案
多选题

矛盾的普遍性与特殊性的关系是( )

  • A.一般与个别的关系
  • B.整体与局部的关系
  • C.绝对与相对的关系
  • D.可以相互转化的关系
查看答案
单选题

以胡锦涛同志为总书记的党中央在邓小平理论和“三个代表”重要思想的指导下,明确提出了科学发展观,把坚持以人为本和经济社会全面、协调、可持续发展统一起来,这标志着我党对社会主义现代化建设规律的认识更加深入。这里提到的科学发展观的实质是( )

  • A.发展才是硬道理
  • B.人口、资源、环境的协调发展
  • C.全面的可持续发展
  • D.实现经济社会更快更好地发展
查看答案

相关题库更多 +