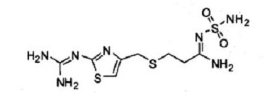
与法莫替丁的叙述不相符的是
- A.为高选择性的H2受体拮抗剂
- B.结构中含有磺酰氨基
- C.结构中含有胍基
- D.结构中含有巯基
- E.结构中含有噻唑基团
正确答案及解析
正确答案
D
解析
法莫替丁结构中含有硫醚结构,不是巯基;

你可能感兴趣的试题
女性,61岁,3h前上楼时突发胸骨后疼痛,伴出汗,不能缓解,既往无冠心病病史,排除心梗发生的实验室检查首选的标志物是
-
- A.CK
- B.LD
- C.AST
- D.ALT
- E.Mb
- 查看答案
血浆凝固酶试验阳性的是
-
- A.肺炎球菌
- B.表皮葡萄球菌
- C.金黄葡萄球菌
- D.A群链球菌
- E.B群链球菌
- 查看答案
关于肠球菌,错误的是
-
- A.需在高盐(6.5%NaCl)培养
- B.医院感染常见菌
- C.在40%胆汁培养基中能分解七叶苷
- D.氧化酶阴性
- E.触酶试验阳性
- 查看答案
检查高压灭菌器的灭菌效果时用的生物指标是
-
- A.大肠埃希菌
- B.金黄葡萄球菌
- C.枯草芽胞杆菌
- D.铜绿假单胞菌
- E.嗜热脂肪芽胞杆菌
- 查看答案
不宜冷藏的细菌是
-
- A.脑膜炎球菌
- B.流感嗜血杆菌
- C.金黄葡萄球菌
- D.百日咳鲍特菌
- E.牛布鲁菌
- 查看答案