题目详情

两列相干的平面简谐波振幅都是4cm,两波源相距30cm,相位差为π,在两波源连线的中垂线上任意一点P,两列波叠加后合振幅为:

  • A.8cm
  • B.16cm
  • C.30cm
  • D.0

正确答案及解析

正确答案
D
解析

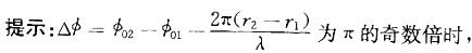
军队文职物理,章节练习,基础复习,普通物理合振幅最小,A = A1-A2 ,今波程差r2-r1=0。

你可能感兴趣的试题

判断题

军队文职司机岗,章节练习,基础复习,常见交通标志、标线和交通手势辨识

查看答案
判断题

军队文职司机岗,章节练习,基础复习,常见交通标志、标线和交通手势辨识

查看答案
判断题

军队文职司机岗,章节练习,基础复习,常见交通标志、标线和交通手势辨识

查看答案
判断题

驾驶人频繁变更车道不属于驾驶陋习。( )

查看答案
判断题

军队文职司机岗,章节练习,基础复习,常见交通标志、标线和交通手势辨识

查看答案

相关题库更多 +