题目详情

—束自然光从空气投射到玻璃表面上(空气折射率为1),当折射角为30°时,反射光是完全偏振光,则此玻璃板的折射率等于:

军队文职物理,章节练习,基础复习,普通物理

  • A.见图A
  • B.见图B
  • C.见图C
  • D.见图D

正确答案及解析

正确答案
C
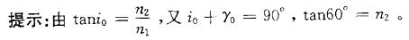
解析

军队文职物理,章节练习,基础复习,普通物理

你可能感兴趣的试题

判断题

军队文职司机岗,章节练习,基础复习,常见交通标志、标线和交通手势辨识

查看答案
判断题

军队文职司机岗,章节练习,基础复习,常见交通标志、标线和交通手势辨识

查看答案
判断题

军队文职司机岗,章节练习,基础复习,常见交通标志、标线和交通手势辨识

查看答案
判断题

驾驶人频繁变更车道不属于驾驶陋习。( )

查看答案
判断题

军队文职司机岗,章节练习,基础复习,常见交通标志、标线和交通手势辨识

查看答案

相关题库更多 +