题目详情
全站导航
首页
试卷库
试题库
试卷导航
学历类
职业资格
公务员
医卫类
建筑工程
外语类
计算机类
财会类
试题导航
学历类
职业资格
公务员
医卫类
建筑工程
外语类
计算机类
财会类
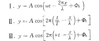
一平面简谐波沿x轴正向传播,已知波长λ,频率v,角频率w,周期T,初相Φ0,则下列表示波动方程的式子中,哪几个是正确的?
A.Ⅰ
B.Ⅰ、Ⅱ
C.Ⅱ、Ⅲ
D.Ⅰ、Ⅱ、Ⅲ
查看答案
纠错
正确答案及解析
正确答案
D
解析
提示:μ=λv,w=2πv。
你可能感兴趣的试题
判断题
查看答案
判断题
查看答案
判断题
查看答案
判断题
驾驶人频繁变更车道不属于驾驶陋习。( )
查看答案
判断题
查看答案
相关题库
更多 +
军队文职公共科目
军队文职法学
军队文职政治学
军队文职管理学
军队文职管理学与服务
军队文职教育学
军队文职体育学
军队文职会计学
军队文职经济学
军队文职审计学
题目纠错
提交
取消