对于室温下的单原子分子理想气体,在等压膨胀的情况下,系统对外所做的功与从外界吸收的热量之比A/Q等于:
- A.1/3
- B.1/4
- C.2/5
- D.2/7
正确答案及解析
正确答案
C
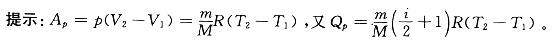
解析

你可能感兴趣的试题
( )用来改变冷却水的循环路线及流量,自动调节冷却的温度。
-
- A.水泵
- B.风扇
- C.散热器
- D.节温器
- 查看答案
AJR发动机机油泵安装在发动机的( )。
-
- A.前端
- B.后端
- C.侧面
- D.下面
- 查看答案
后驱式传动系统传动间隙的标准值为( )角。
-
- A.5°~10°
- B.10°~15°
- C.15°~20°
- D.20°以上
- 查看答案
对于汽车制动试验台,以下哪种说法不正确( )。
-
- A.按工作原理,制动试验台可分为反作用力式和惯性式
- B.反作用力式试验台可测出汽车车轮的制动力
- C.惯性式试验台可测出汽车的制动距离
- D.反作用力式试验台可测出汽车的制动距离
- 查看答案
对于送厂大修的汽车进厂检验,下面说法不正确的是( )。
-
- A.应察看气缸体有无漏水
- B.不必察听正时齿轮有无异响
- C.不必检查机油量的多少
- D.应察听有无爆燃声
- 查看答案