
- A.<img src='http://tp.mxqe.com/data/831/13985735_0_1.jpg' alt='军队文职数学2,章节练习,高等数学,强化练习' title='军队文职数学2,章节练习,高等数学,强化练习'>
- B.<img src='http://tp.mxqe.com/data/831/13985735_0_2.jpg' alt='军队文职数学2,章节练习,高等数学,强化练习' title='军队文职数学2,章节练习,高等数学,强化练习'>
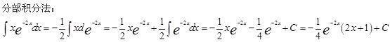
- C.<img src='http://tp.mxqe.com/data/831/13985735_0_3.jpg' alt='军队文职数学2,章节练习,高等数学,强化练习' title='军队文职数学2,章节练习,高等数学,强化练习'>
- D.<img src='http://tp.mxqe.com/data/831/13985735_0_4.jpg' alt='军队文职数学2,章节练习,高等数学,强化练习' title='军队文职数学2,章节练习,高等数学,强化练习'>
正确答案及解析
正确答案
A
解析

你可能感兴趣的试题
关于绒毛膜癌及侵蚀性葡萄胎的临床分期,II期是指()
-
- A.病变局限于子宫
- B.病变转移多个脏器
- C.病变扩散,仍局限于附件、阴道及阔韧带等生殖器官
- D.病变转移到肝脏
- E.肺内转移病灶总面积大于一侧肺的1/2
- 查看答案
28岁已婚女性,2年前因输卵管妊娠切除右侧输卵管,继发不孕2年,现停经40天,阴道流血10天,尿HCG(+),B超提示右侧输卵管妊娠3cm×2cm×2cm,盆腔无积液。选择哪种治疗为宜
-
- A.米非司酮治疗
- B.MTX治疗
- C.双侧髂内动脉结扎
- D.患侧卵巢部分切除
- E.患侧输卵管切除
- 查看答案
40岁已婚育妇女,因停经50天,下腹剧烈疼痛2小时急诊。检查:血压70/50mmHg,腹部移动浊音(+),剖腹探查见左输卵管妊娠破裂型,左输卵管包裹于血块中。选择哪种治疗为宜
-
- A.米非司酮治疗
- B.MTX治疗
- C.双侧髂内动脉结扎
- D.患侧卵巢部分切除
- E.患侧输卵管切除
- 查看答案
40岁已婚育女性,因"先兆流产"做流产刮宫术,术中发现为宫颈妊娠,大量流血,经注射止血药,局部填塞等措施仍血流如注,血压80/60mmHg。此时宜选择哪种治疗
-
- A.米非司酮治疗
- B.MTX治疗
- C.双侧髂内动脉结扎
- D.患侧卵巢部分切除
- E.患侧输卵管切除
- 查看答案
36岁已婚女性,停经45天,阴道流血7天,下腹剧烈疼痛2小时入院。检查:患者面色苍白,腹部移动浊音(+)。剖腹探查诊断为卵巢妊娠,选择哪种治疗方法为宜
-
- A.米非司酮治疗
- B.MTX治疗
- C.双侧髂内动脉结扎
- D.患侧卵巢部分切除
- E.患侧输卵管切除
- 查看答案