题目详情

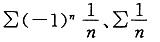
若级数军队文职数学一,章节练习,内部冲刺,高等数学收敛,则对级数军队文职数学一,章节练习,内部冲刺,高等数学下列哪个结论正确?

  • A.必绝对收敛
  • B.必条件收敛
  • C.必发散
  • D.可能收敛,也可能发散

正确答案及解析

正确答案
D
解析

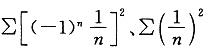
提示:举例说明,级数军队文职数学2,章节练习,高等数学,级数均收敛,但级数军队文职数学2,章节练习,高等数学,级数一个收敛,一个发散。

你可能感兴趣的试题

单选题

下列有关CT机技术性能指标,叙述不正确的是

  • A.X线球管的热容量越大越好
  • B.探测器数目越多扫描时间越短
  • C.重建的矩阵越大所需重建时间越短
  • D.CT机在保证图像质量的同时孔径越大越好
  • E.硬盘的容量决定图像数据的存储量
查看答案
单选题

关于有效焦点大小的叙述,错误的是

  • A.在像面的不同方位上实际焦点的投影不同
  • B.实际焦点在X线管长轴垂直方向上的投影
  • C.在X线管靶面下垂直方向上水平投影的大小
  • D.从灯丝正面发出的电子所形成的焦点
  • E.有效焦点为一矩形,大小为a×bsina
查看答案
单选题

阳极的组成是

  • A.阳极头、阳极柄
  • B.阳极柄、阳极帽
  • C.阳极帽、阳极头
  • D.阳极头、阳极帽、阳极柄
  • E.阳极头、阳极帽、阳极柄、靶面
查看答案
单选题

儿童骨折的特点是

  • A.青枝骨折
  • B.与成人骨折相同
  • C.易见骨折线
  • D.不易发生骨骺分离
  • E.不易发生骨骺早闭
查看答案
单选题

关于CT机工作原理的叙述,错误的是

  • A.计算机将模拟信号变成数字信号再重建图像
  • B.利用窄束X线穿透被检部位
  • C.X线穿透被检部位时,强度呈负指数衰减
  • D.透过被检体的X线被探测器接收直接成像
  • E.A/D转换是将模拟信号转换为数字信号
查看答案

相关题库更多 +