函数y=x+xx▏,在x=0处应:
- A.连续且可导
- B.连续但不可导
- C.不连续
- D.以上均不对
正确答案及解析
正确答案
A
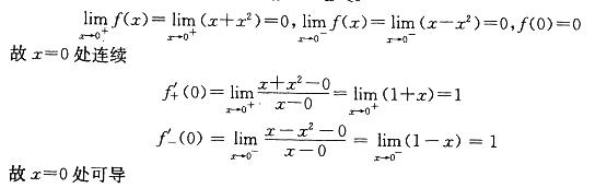
解析


你可能感兴趣的试题
试纸法氧化酶阳性的颜色应为
-
- A.蓝色
- B.深紫色
- C.绿色
- D.黄色
- E.橘红色
- 查看答案
可用于观察细菌产生H
S的培养基-
- A.EMB培养基
- B.硫乙醇酸盐培养基
- C.亚碲酸钾培养基
- D.KIA培养基
- E.血液培养基
- 查看答案
进行玻片法血浆凝固酶试验,不需要的是
-
- A.兔血浆
- B.玻片
- C.生理盐水
- D.5%红细胞悬液
- E.待检细菌
- 查看答案
利用细菌生化反应鉴定的依据是
-
- A.细菌毒素种类的差异
- B.细菌酶含量的不同
- C.细菌酶活性的不同
- D.细菌分解代谢产物的差异
- E.细菌毒素活性的不同
- 查看答案
下列属于弱选择培养基的是
-
- A.伊红亚甲蓝平板
- B.SS琼脂
- C.巧克力平板
- D.血平板
- E.沙氏培养基
- 查看答案