题目详情

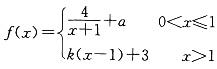
设函数军队文职数学一,章节练习,内部冲刺,高等数学,要使f(x)在点x=1处连续,则a的值应是:

  • A.-2
  • B.-1
  • C.0
  • D.1

正确答案及解析

正确答案
D
解析

提示:利用函数在一点连续的定义,通过计算军队文职数学3,章节练习,高等数学的值确定a值。

你可能感兴趣的试题

单选题

在疾病进行期出现中性粒细胞核右移常提示

  • A.骨髓造血功能旺盛
  • B.造血物质丰富
  • C.脱氧核糖核酸增多
  • D.炎症恢复期
  • E.机体抵抗力强
查看答案
单选题

下列结果不符合典型的严重感染患者的是

  • A.中性粒细胞出现核左移及退行性病变
  • B.嗜酸性粒细胞常轻度增加
  • C.白细胞总数常增加
  • D.中性粒细胞毒性变化增多
  • E.淋巴细胞相对减少
查看答案
单选题

引起中性粒细胞减少的疾病除外

  • A.系统性红斑狼疮
  • B.放疗患者
  • C.再生障碍性贫血
  • D.脾切除
  • E.长期使用氯霉素
查看答案
单选题

取静脉血20μl加至0.78ml白细胞稀释液内,混匀,滴入计数盘,计数五个大方格中白细胞数为625个,则应报告白细胞计数结果为

  • A.25×10<img src='http://tp.mxqe.com/data/859/13955486_0.gif' alt='军队文职医学检验,专项训练,专项训练2,临床检验部分' title='军队文职医学检验,专项训练,专项训练2,临床检验部分'>/L
  • B.50×10<img src='http://tp.mxqe.com/data/859/13955486_0_1.gif' alt='军队文职医学检验,专项训练,专项训练2,临床检验部分' title='军队文职医学检验,专项训练,专项训练2,临床检验部分'>/L
  • C.125×10<img src='http://tp.mxqe.com/data/859/13955486_0_2.gif' alt='军队文职医学检验,专项训练,专项训练2,临床检验部分' title='军队文职医学检验,专项训练,专项训练2,临床检验部分'>/L
  • D.100×10<img src='http://tp.mxqe.com/data/859/13955486_0_3.gif' alt='军队文职医学检验,专项训练,专项训练2,临床检验部分' title='军队文职医学检验,专项训练,专项训练2,临床检验部分'>/L
  • E.75×10<img src='http://tp.mxqe.com/data/859/13955486_0_4.gif' alt='军队文职医学检验,专项训练,专项训练2,临床检验部分' title='军队文职医学检验,专项训练,专项训练2,临床检验部分'>/L
查看答案
单选题

点彩红细胞计数一般选用下述何种染液最佳

  • A.瑞氏染液
  • B.煌焦油蓝乙醇染液
  • C.碱性亚甲蓝染液
  • D.吉姆萨染液
  • E.酸性伊红染液
查看答案

相关题库更多 +