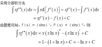
若f(x)有原函数xlnx,则∫xf″(x)dx=( )。
- A.-lnx+C
 - B.-xlnx+
 - C.lnx+C
 - D.xlnx+C
 
正确答案及解析
正确答案
A
            解析

你可能感兴趣的试题
试纸法氧化酶阳性的颜色应为
- 
                
- A.蓝色
 - B.深紫色
 - C.绿色
 - D.黄色
 - E.橘红色
 
 - 查看答案
 
可用于观察细菌产生H
S的培养基- 
                
- A.EMB培养基
 - B.硫乙醇酸盐培养基
 - C.亚碲酸钾培养基
 - D.KIA培养基
 - E.血液培养基
 
 - 查看答案
 
进行玻片法血浆凝固酶试验,不需要的是
- 
                
- A.兔血浆
 - B.玻片
 - C.生理盐水
 - D.5%红细胞悬液
 - E.待检细菌
 
 - 查看答案
 
利用细菌生化反应鉴定的依据是
- 
                
- A.细菌毒素种类的差异
 - B.细菌酶含量的不同
 - C.细菌酶活性的不同
 - D.细菌分解代谢产物的差异
 - E.细菌毒素活性的不同
 
 - 查看答案
 
下列属于弱选择培养基的是
- 
                
- A.伊红亚甲蓝平板
 - B.SS琼脂
 - C.巧克力平板
 - D.血平板
 - E.沙氏培养基
 
 - 查看答案