注册环保工程师
全站导航
首页
试卷库
试题库
试卷导航
建筑工程
职业资格
公务员
财会类
医卫类
外语类
计算机类
学历类
试题导航
建筑工程
职业资格
公务员
财会类
医卫类
外语类
计算机类
学历类
全部分类
注册环保工程师专业基础
注册环保工程师公共基础
全部
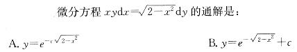
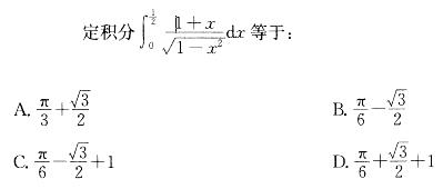
单选题