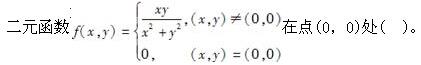
军队文职数学2
全站导航
首页
试卷库
试题库
试卷导航
建筑工程
职业资格
公务员
财会类
医卫类
外语类
计算机类
学历类
试题导航
建筑工程
职业资格
公务员
财会类
医卫类
外语类
计算机类
学历类
全部
单选题
判断题
首页
上一页
1
...
976
977
978
...
2869
下一页
末页