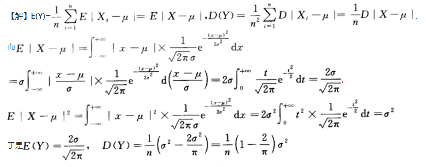
设总体X服从正态分布N(μ,σ^2)(σ>0),X1,X1,…,Xn为来自总体X的简单随机样本,令Y=.
,求Y的数学期望与方差
正确答案及解析
正确答案
解析

你可能感兴趣的试题
唐一、孙二与朱三、沙四两家因甲县乙乡丙村集体土地承包经营权发生纠纷,双方均认为对争议的集体土地享有承包经营权,朱三和沙四一直要求唐一拆除其在争议土地东侧所建的两间瓦房、猪圈和厕所。2015年5月21日上午,朱三到唐一自建的瓦房前,要求唐一拆除房屋,唐一不同意,双方发生争吵,朱三便拿放在瓦房门口的铁锹顶坏了房顶上的瓦片,唐一上前阻止,并与其厮打在一起,后孙二、沙四相继赶到,加入到厮打中。行政机关根据各方过错程度作出了不同的行政处罚:给予唐一行政拘留5日、孙二行政拘留3日、朱三行政拘留3日、沙四行政拘留9日的处罚。如果本案的一方当事人欲对该行政拘留决定提起行政复议,则可以向( )提起。
-
- A.甲县公安局
- B.甲县人民政府
- C.甲县司法局
- D.乙乡人民政府
- 查看答案
2015年8月9日,甲市运输管理处的执法人员在甲市天长西路路面稽查时发现,B市赵军驾驶小型货车,前往乙地运货,车上载有60箱雪碧。执法人员俞某、王某将其拦下,并告知其身份、出示执法证件。经现场检查,赵军当场无法出示道路运输驾驶员货物从业资格证件。执法人员当场作出了扣押其运输车辆的决定,当事人赵军强烈反抗,阻止执法人员扣留其车辆的行为,致使一名执法人员轻微伤。8月10日,该运输管理处依据《道路运输从业人员管理规定》第48条第1款的规定,作出了给予赵军罚款人民币2000元的行政处罚。甲市运输管理处扣押赵军车辆的行为属于:( )
-
- A.行政强制措施
- B.行政强制执行
- C.行政处罚措施
- D.行政保管措施
- 查看答案
适应新常态是全国上下共同的使命,这其中既有重重挑战,也有许多机遇,关键看如何变挑战为动力,变机遇为现实。新常态下该有怎样的思维和作为,地处苏北的年轻地级市宿迁,以其特有的改革精神和创新意识,迎着巨大考验,努力书写着新常态下的新答卷。走进这场思想风暴不难发现,宿迁思维中有三个重要的维度:一是转型升级中如何发挥市场的“决定性作用”。在宿迁的决策者看来,党委政府要发挥政策顶层设计、产业宏观规划、环境法治保障等方面的作用,同时,要千方百计为市场和社会松绑,让市场在转型升级中的作用更加突出、更加显性、更加直接,这个思考无疑非常契合新常态的要求。二是产业布局中的生态优先如何落实到位。生态优先前提下的产业升级思维不能动摇。三是如何在即期不失序中精准把握未来方向。当前发展在尊重规律的前提下,该抓的发展机遇要抓,该保持的速度要保持,而转型升级不是简单把速度降下来、把产能转出去。当前,在“三期叠加”和各种矛盾交织的大背景下,新思维和责任心更为珍贵。从宿迁的实践不难发现,“只要精神不滑坡,办法总比困难多”的宿迁精神特质,在今天依然熠熠生辉,而且不断生长出新的内涵,体现在转型升级上,就是不仅要解决“转”的问题,还要解决“新”的问题,不仅要“敢于”,还要“善于”,不仅要自律,还要他律。新常态下,转型升级在路上,作为改革排头兵的宿迁,发展中的新思维、新探索,值得去跟踪、发现、借鉴。材料中提出,在产业布局中落实生态优先,这是对于我国提倡生态文明建设的一个有力体现。下列对于生态文明建设的说法中错误的是:( )
-
- A.与国外可持续发展思想相比较,我国的生态文明建设理念更加科学,更加契合中国国情
- B.生态文明建设是与科教兴国、可持续发展等战略一样的国家战略
- C.生态文明建设不是不要发展,而是要高产出、高效益、高品质的发展
- D.广义生态文明建设包括生态环境建设、生态经济建设、生态社会建设、生态文化建设等方面
- 查看答案
王某欲在其居住的小区建立一个私人诊所,故向该市卫生局提出申请,卫生局在审查申请材料时发现王某交予的材料不齐全,但没有当场告知,而是在过了6日后电话通知王某补全材料,王某补全材料后市卫生局受理了该申请,后来小区居民得知王某欲建诊所的消息,小区居民陈某等人提出,诊所的医疗废物会造成环境污染,要求卫生局不予批准。王某因此提出听证的申请,卫生局同意并在10日内组织了听证,经过听证程序后,卫生局依法作出准予的行政许可。对下列哪个情形,行政机关不应当办理行政许可的注销手续?( )
-
- A.王某取得执业许可证后,发生交通事故成为植物人
- B.王某违法经营被吊销许可证
- C.王某依法向卫生部门申请延续许可,卫生部门在规定期限内未予答复
- D.王某通过行贿取得行政许可证后,被行政机关发现并撤销其许可
- 查看答案
2013年3月20日,姚某、刘某通过特快专递,要求福建省永泰县国土资源局书面公开二申请人房屋所在区域地块拟建设项目的“一书四方案”(此时福建省人民政府已作出征地批复),即建设用地项目呈报说明书、农用地转用方案、补充耕地方案、征收方案、供地方案。2013年5月28日,永泰县国土资源局作出《关于刘某、姚某申请信息公开的答复》,称:“你们所申请公开的第3项(拟建设项目的“一书四方案”),不属于公开的范畴。”并按申请表确定的通信地址将《答复》邮寄给申请人。2013年7月8日,姚某、刘某以永泰县国土资源局未就政府公开申请作出答复为由,提起行政诉讼。永泰县国土资源局答辩称:“一书四方案”系被告制作的内部管理信息,处在审查中的过程性信息,不属于《政府信息公开条例》所指应公开的政府信息,被告没有公开的义务。下列事项属于行政机关绝对不公开范围的是:( )
-
- A.个人隐私
- B.商业秘密
- C.国家秘密
- D.企业机密
- 查看答案