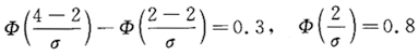
若随机变量X~N(2,σ^2),且P(2
正确答案及解析
正确答案
解析
由P(2小于X小于4)=0.3得
,则.

你可能感兴趣的试题
王某欲在其居住的小区建立一个私人诊所,故向该市卫生局提出申请,卫生局在审查申请材料时发现王某交予的材料不齐全,但没有当场告知,而是在过了6日后电话通知王某补全材料,王某补全材料后市卫生局受理了该申请,后来小区居民得知王某欲建诊所的消息,小区居民陈某等人提出,诊所的医疗废物会造成环境污染,要求卫生局不予批准。王某因此提出听证的申请,卫生局同意并在10日内组织了听证,经过听证程序后,卫生局依法作出准予的行政许可。对下列哪个情形,行政机关不应当办理行政许可的注销手续?( )
-
- A.王某取得执业许可证后,发生交通事故成为植物人
- B.王某违法经营被吊销许可证
- C.王某依法向卫生部门申请延续许可,卫生部门在规定期限内未予答复
- D.王某通过行贿取得行政许可证后,被行政机关发现并撤销其许可
- 查看答案
2013年3月20日,姚某、刘某通过特快专递,要求福建省永泰县国土资源局书面公开二申请人房屋所在区域地块拟建设项目的“一书四方案”(此时福建省人民政府已作出征地批复),即建设用地项目呈报说明书、农用地转用方案、补充耕地方案、征收方案、供地方案。2013年5月28日,永泰县国土资源局作出《关于刘某、姚某申请信息公开的答复》,称:“你们所申请公开的第3项(拟建设项目的“一书四方案”),不属于公开的范畴。”并按申请表确定的通信地址将《答复》邮寄给申请人。2013年7月8日,姚某、刘某以永泰县国土资源局未就政府公开申请作出答复为由,提起行政诉讼。永泰县国土资源局答辩称:“一书四方案”系被告制作的内部管理信息,处在审查中的过程性信息,不属于《政府信息公开条例》所指应公开的政府信息,被告没有公开的义务。下列事项属于行政机关绝对不公开范围的是:( )
-
- A.个人隐私
- B.商业秘密
- C.国家秘密
- D.企业机密
- 查看答案
唐一、孙二与朱三、沙四两家因甲县乙乡丙村集体土地承包经营权发生纠纷,双方均认为对争议的集体土地享有承包经营权,朱三和沙四一直要求唐一拆除其在争议土地东侧所建的两间瓦房、猪圈和厕所。2015年5月21日上午,朱三到唐一自建的瓦房前,要求唐一拆除房屋,唐一不同意,双方发生争吵,朱三便拿放在瓦房门口的铁锹顶坏了房顶上的瓦片,唐一上前阻止,并与其厮打在一起,后孙二、沙四相继赶到,加入到厮打中。行政机关根据各方过错程度作出了不同的行政处罚:给予唐一行政拘留5日、孙二行政拘留3日、朱三行政拘留3日、沙四行政拘留9日的处罚。如果本案的一方当事人欲对该行政拘留决定提起行政复议,则可以向( )提起。
-
- A.甲县公安局
- B.甲县人民政府
- C.甲县司法局
- D.乙乡人民政府
- 查看答案
下列关于该公文的说法,错误的是:( )-
- A.该公文是针对某一个下级机关的请示的批复
- B.公文标题回行时词意不完整,应将“历”字移至第二行
- C.主送机关应左空二字排布
- D.“贵市”用语不当,应改为“你市”
- 查看答案
经工商局核准,甲公司取得企业法人营业执照,经营范围为木材切片加工。甲公司与乙公司签订合同,由乙公司供应加工木材1万吨。不久,省林业局致函甲公司,告知按照本省地方性法规的规定,新建木材加工企业必须经省林业局办理木材加工许可证后,方能向工商行政管理部门申请企业登记,违者将受到处罚。1个月后,省林业局以甲公司无证加工木材为由没收其加工的全部木片,并处以30万元罚款。甲公司向法院起诉要求撤销省林业局的处罚决定,同时要求对该省地方性法规一并提出审查要求。因甲公司停产,无法履行与乙公司签订的合同,乙公司要求支付货款并赔偿损失,甲公司表示无力支付和赔偿,乙公司向当地公安局报案。2014年10月8日,公安局以涉嫌诈骗为由将甲公司法定代表人张某刑事拘留,1个月后,张某被批捕。2015年4月1日,检察院以证据不足为由作出不起诉决定,张某被释放。若张某提出国家赔偿请求,下列说法不正确的是:( )
-
- A.张某提出对其每日赔偿金按照国家上年度职工日平均工资计算
- B.检察院应对批捕决定承担赔偿责任
- C.张某要求国家赔偿,只能向法院提起诉讼
- D.赔偿义务机关应当自收到申请之日起两个月内,作出是否赔偿的决定
- 查看答案