某债券面值100元,每半年付息一次,利息5元,债券期限为5年,若一投资者在该债券发行时以1 18.66元购得,则其实际的年收益率是( )。
- A.5.88%
- B.6.09%
- C.6.25%
- D.6.41%
正确答案及解析
正确答案
B
解析
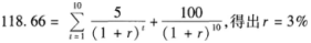
半年收益率计算公式为:

,则实际年收益率为(1+r)2-1=6.09%。
你可能感兴趣的试题
货币政策的目的是在同一时期内同时实现经济增长、充分就业、物价稳定和国际收支平衡这四大目标。?(?)
- 查看答案
下列关于合同成立条件的表述,错误的是( )。
-
- A.合同的订立无需具备要约和承诺阶段
- B.双方当事人订立合同必须依法进行
- C.当事人必须就合同的主要条款协商一致
- D.承诺生效时合同成立
- 查看答案
看涨期权指期权买入方在规定的期限内享有按照一定的价格向交易对手______某种基础资产的权利,但不负担必须______的义务。( )
-
- A.购入;买进
- B.售出;买进
- C.售出;卖出
- D.购入;售出
- 查看答案
发卡银行应尽的义务包括( )。
-
- A.发卡银行应为借记卡提供支付密码等安全保障手段,为信用卡消费交易提供凭密码和凭签名两种安全保障手段,保护消费者支付安全
- B.未经消费者授权,不得将相关交易信息用于本机构银行卡业务以外的其他用途
- C.应按照与消费者约定的方式提供对账服务,并及时就即将到期的信用卡透支金额、还款日期等信息提醒消费者
- D.银行卡章程或领用协议变更时,发卡银行有义务按照国家规定提前进行公告
- E.对消费者未按期足额归还的透支款项,应对消费者家属进行催收
- 查看答案
下列关于遗嘱和遗赠说法正确的有( )。
-
- A.遗嘱直接体现了被继承人的意愿
- B.遗嘱继承人在继承开始后未明确表示接受继承的,丧失继承权
- C.遗嘱是一种要式民事行为
- D.受遗赠人在知道或应当知道受遗赠后两个月内未作出接受遗赠表示的,丧失受遗赠权
- E.遗赠与遗嘱继承都是通过遗嘱方式处分财产
- 查看答案