以下关于现值的说法,正确的是( )。
- A.当给定终值时,贴现率越高,现值越低
- B.当给定利率及终值时,取得终值的时间越长,该终值的现值就越高
- C.在其他条件相同的情况下,按单利计息的现值要低于用复利计息的现值
- D.利率为正时,现值大于终值
正确答案及解析
正确答案
A
解析
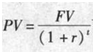
B项,根据复利现值公式

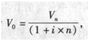
可知,当给定利率及终值时,取得终值的时间越长,该终值的现值就越低;C项,单利现值公式为

在其他条件相同的情况下,按单利计息的现值要高于用复利计息的现值;D项,利率为正时,现值小于终值。
你可能感兴趣的试题
某市拥有500万人口,其中从业人数450万,登记失业人数15万,该市统计部门公布的 失业率应为( )。
-
- A.3%
- B.3.2%
- C.3.5%
- D.3.8%
- 查看答案
下列关于商业银行销售理财产品,说法错误的是( )。
-
- A.应当遵循诚实守信、勤勉尽责、如实告知原则
- B.应当遵循公平、公开、公正原则,充分揭示风险,保护客户合法权益,不得对客户进行误导销售
- C.在特殊情况下,商业银行可以向客户销售风险评级略高于客户风险承受能力评级的理财产品
- D.商业银行销售理财产品,应当加强客户风险提示和投资者教育
- 查看答案
关于违约责任,下列说法错误的是( )。
-
- A.违约责任的承担形式包括违约金责任
- B.违约责任是指当事人违反合同义务所应该承担的民事责任,主要表现为民事责任
- C.我国《合同法》规定违约责任的一般构成要件是违约
- D.违约责任的承担形式有强制履行
- 查看答案
按照我国法定夫妻财产制,夫妻共同财产的范围包括婚姻关系存续期间( )。
-
- A.一方或双方劳动所得的收入和购置的财产
- B.一方或双方的知识产权收益
- C.一方或双方继承、受赠的财产或取得的债权
- D.一方或双方的其他合法收入
- E.双方共同设立的企业利润
- 查看答案
下列符合基金销售人员资格及相关要求的有( )。
-
- A.建设银行具有基金从业资格的人员不少于30人
- B.城商行具有基金从业资格的人员不少于20人
- C.邮政储蓄银行具有基金从业资格的人员不少于20人
- D.农商行以及期货公司等具有基金从业资格的人员不少于20人
- E.保险代理公司具有基金从业资格的人员不少于10人
- 查看答案