题目详情

1. 设直线L的方程为

注册环保工程师公共基础,预测试卷,2021环保工程师《公共基础考试》预测试卷1

注册环保工程师公共基础,预测试卷,2021环保工程师《公共基础考试》预测试卷1

则L的参数方程是(  )。注册环保工程师公共基础,预测试卷,2021环保工程师《公共基础考试》预测试卷1

  • A.A
  • B.B
  • C.C
  • D.D

正确答案及解析

正确答案
A
解析

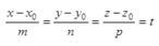
过点M0(x0,y0,z0)的直线,s=(m,n,p)为其一个方向向量,若设参数t如下:

注册环保工程师公共基础,预测试卷,2021环保工程师《公共基础考试》预测试卷1

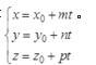
则其参数式方程可写作

注册环保工程师公共基础,预测试卷,2021环保工程师《公共基础考试》预测试卷1

直线的方向向量应与所在两个平面的法向量都垂直,即

注册环保工程师公共基础,预测试卷,2021环保工程师《公共基础考试》预测试卷1

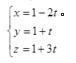
直线过点(1,1,1),从而参数方程为:

注册环保工程师公共基础,预测试卷,2021环保工程师《公共基础考试》预测试卷1

包含此试题的试卷

你可能感兴趣的试题

单选题

矩阵

注册环保工程师公共基础,预测试卷,2021环保工程师《公共基础考试》预测试卷4对应特征值λ=-1的全部特征向量为( )。

注册环保工程师公共基础,预测试卷,2021环保工程师《公共基础考试》预测试卷4

  • A.A
  • B.B
  • C.C
  • D.D
查看答案
单选题

设f(x,y)=ytanx+xexy,则

注册环保工程师公共基础,预测试卷,2021环保工程师《公共基础考试》预测试卷4=( )。

注册环保工程师公共基础,预测试卷,2021环保工程师《公共基础考试》预测试卷4

  • A.A
  • B.B
  • C.C
  • D.D
查看答案
单选题

质量为m的质点A以匀速v沿圆周运动,如图10所示。质点由A1开始运动一周后又返回到A1这一过程质点所受合力的冲量( )。

注册环保工程师公共基础,预测试卷,2021环保工程师《公共基础考试》预测试卷4

  • A.冲量为零
  • B.冲量不为零
  • C.设质点受合力大小为F,转一周的时间为t,则冲量为Rt
  • D.不能确定
查看答案
单选题

下列说法正确的是( )。

  • A.企业的营业收入也就是企业的总产值
  • B.经营成本中包括利息支出
  • C.利润是企业在一定时期内全部生产经营活动的最终成果
  • D.增值税属于价内税,包含在营业收入中
查看答案
单选题

如图22所示电路中,当负载RL获得最大功率时,RL=( )。

注册环保工程师公共基础,预测试卷,2021环保工程师《公共基础考试》预测试卷4

  • A.∞
  • B.0.5Ω
  • C.1Ω
  • D.2Ω
查看答案

相关题库更多 +