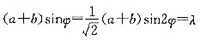
波长为λ的单色光垂直入射到一衍射光栅上,当光栅常数为(a+b)时,第一级衍射条纹对应的衍射角为φ,当换成光栅常数为

的光栅时,第一级衍射条纹对应的衍射角为2φ,则λ/(a+b)为()。

- A.A
- B.B
- C.C
- D.D
正确答案及解析
正确答案
A
解析

包含此试题的试卷
你可能感兴趣的试题
矩阵
对应特征值λ=-1的全部特征向量为( )。
-
- A.A
- B.B
- C.C
- D.D
- 查看答案
设f(x,y)=ytanx+xexy,则
=( )。
-
- A.A
- B.B
- C.C
- D.D
- 查看答案
质量为m的质点A以匀速v沿圆周运动,如图10所示。质点由A1开始运动一周后又返回到A1这一过程质点所受合力的冲量( )。

-
- A.冲量为零
- B.冲量不为零
- C.设质点受合力大小为F,转一周的时间为t,则冲量为Rt
- D.不能确定
- 查看答案
下列说法正确的是( )。
-
- A.企业的营业收入也就是企业的总产值
- B.经营成本中包括利息支出
- C.利润是企业在一定时期内全部生产经营活动的最终成果
- D.增值税属于价内税,包含在营业收入中
- 查看答案
如图22所示电路中,当负载RL获得最大功率时,RL=( )。

-
- A.∞
- B.0.5Ω
- C.1Ω
- D.2Ω
- 查看答案