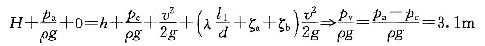
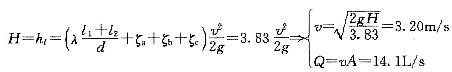
虹吸管将A池中的水输入B池,如图19所示。已知长度l1=3m,l2=5m,直径d=75mm,两池水面高差H=2m,最大超高h=1.8m,沿程阻力系数λ=0.02,局部阻力系数:进口ζa=0.5,转弯ζb=0.2,出口ζc=1,则流量Q及管道最大超高断面的真空度为()。
- A.14.1L/s、3.1mH2O
- B.16.1L/s、3.5mH2O
- C.12.5L/s、2.9mH2O
- D.15.2L/s、3.4mH2O
正确答案及解析
正确答案
A
解析
列上下游水池的伯努利方程
列上游水池和最大超高处的伯努利方程
你可能感兴趣的试题
矩阵
对应特征值λ=-1的全部特征向量为( )。
-
- A.A
- B.B
- C.C
- D.D
- 查看答案
设f(x,y)=ytanx+xexy,则
=( )。
-
- A.A
- B.B
- C.C
- D.D
- 查看答案
质量为m的质点A以匀速v沿圆周运动,如图10所示。质点由A1开始运动一周后又返回到A1这一过程质点所受合力的冲量( )。

-
- A.冲量为零
- B.冲量不为零
- C.设质点受合力大小为F,转一周的时间为t,则冲量为Rt
- D.不能确定
- 查看答案
下列说法正确的是( )。
-
- A.企业的营业收入也就是企业的总产值
- B.经营成本中包括利息支出
- C.利润是企业在一定时期内全部生产经营活动的最终成果
- D.增值税属于价内税,包含在营业收入中
- 查看答案
如图22所示电路中,当负载RL获得最大功率时,RL=( )。

-
- A.∞
- B.0.5Ω
- C.1Ω
- D.2Ω
- 查看答案