频率υ=500Hz的机械波,波速u=360m·s-1,则同一波线上相位差为
的两点间的距离为()。
- A.0.12m
- B.0.24m
- C.0.36m
- D.0.48m
正确答案及解析
正确答案
A
解析
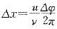
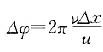
由波的相位传播的概念可知,相距一个波长λ的两个质元在同一时刻的相位差为2π,所以相距△x的两质元在同一时刻相位差为
,而波速u=λυ,有
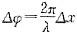
,即
,代入题设数值,可得△x=0.12m
你可能感兴趣的试题
矩阵
对应特征值λ=-1的全部特征向量为( )。
-
- A.A
- B.B
- C.C
- D.D
- 查看答案
设f(x,y)=ytanx+xexy,则
=( )。
-
- A.A
- B.B
- C.C
- D.D
- 查看答案
质量为m的质点A以匀速v沿圆周运动,如图10所示。质点由A1开始运动一周后又返回到A1这一过程质点所受合力的冲量( )。

-
- A.冲量为零
- B.冲量不为零
- C.设质点受合力大小为F,转一周的时间为t,则冲量为Rt
- D.不能确定
- 查看答案
下列说法正确的是( )。
-
- A.企业的营业收入也就是企业的总产值
- B.经营成本中包括利息支出
- C.利润是企业在一定时期内全部生产经营活动的最终成果
- D.增值税属于价内税,包含在营业收入中
- 查看答案
如图22所示电路中,当负载RL获得最大功率时,RL=( )。

-
- A.∞
- B.0.5Ω
- C.1Ω
- D.2Ω
- 查看答案