曲线
()。
- A.仅有水平渐近线y=0
- B.仅有铅直渐近线x=2
- C.既有水平渐近线y=0.又有铅直渐近线x=2
- D.无渐近线
正确答案及解析
正确答案
C
解析
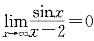
由
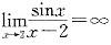
,y=0是曲线的水平渐近线,由
,x=2是曲线的铅直渐近线
你可能感兴趣的试题
矩阵
对应特征值λ=-1的全部特征向量为( )。
-
- A.A
- B.B
- C.C
- D.D
- 查看答案
设f(x,y)=ytanx+xexy,则
=( )。
-
- A.A
- B.B
- C.C
- D.D
- 查看答案
质量为m的质点A以匀速v沿圆周运动,如图10所示。质点由A1开始运动一周后又返回到A1这一过程质点所受合力的冲量( )。

-
- A.冲量为零
- B.冲量不为零
- C.设质点受合力大小为F,转一周的时间为t,则冲量为Rt
- D.不能确定
- 查看答案
下列说法正确的是( )。
-
- A.企业的营业收入也就是企业的总产值
- B.经营成本中包括利息支出
- C.利润是企业在一定时期内全部生产经营活动的最终成果
- D.增值税属于价内税,包含在营业收入中
- 查看答案
如图22所示电路中,当负载RL获得最大功率时,RL=( )。

-
- A.∞
- B.0.5Ω
- C.1Ω
- D.2Ω
- 查看答案