水车由直径d=150ram,长l=80m的管道供水,如图16所示。该管道中共有两个闸阀和4个90°弯头,局部阻力系数:闸阀全开时ζa=0.12,弯头ζb=0.18,沿程阻力系数λ=0.03。已知水车的有效容积V为25m3,水塔的作用水头H=18m,那么水车充满水所需的最短时间为()。

- A.398s
- B.298s
- C.364s
- D.324s
正确答案及解析
正确答案
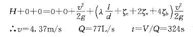
D
解析
由伯努利方程得
包含此试题的试卷
你可能感兴趣的试题
设A、B、C为三个事件,则A、B、C中至少有两个发生可表示为:
-
- A.AUBUC
- B.A(BUC)
- C.ABUACUBC <img src='http://tp.mxqe.com/data/830/13984487_0.jpg' alt='军队文职数学3,章节练习,文职数学题' title='军队文职数学3,章节练习,文职数学题'>
- 查看答案
根据《污水综合排放标准》,对于排入下列水域的污水,需要执行一级标准的有( )。
-
- A.GB 3838中Ⅲ类水域
- B.GB 3097中一类水域
- C.设置二级污水处理厂的城镇排水系统
- D.GB 3838中工类水域
- 查看答案
对生活垃圾卫生填埋场垃圾渗滤液排放正确的说法是( )。
-
- A.不得排入GB 3838—2002中规定的Ⅰ、Ⅱ类水域
- B.对排入GB 3838—2002中规定的Ⅲ类水域的饮用水源保护区排放限制执行一级标准
- C.对排入GB 3838—2002中规定的Ⅴ、Ⅵ类水域排放限制执行一级标准
- D.对排入GB 3838—2002中规定的Ⅲ类水域排放限制执行二级标准
- 查看答案
下面说法正确的是( )。
A 燃料完全燃烧时所需的实际空气量等于理论空气量
B 过剩空气系数决定于燃料种类、燃烧装置形式及燃烧条件
C 随着燃料中的氢相对含量的减少,碳相对含量的增加,理论空燃比随之增加
D 煤燃烧生成的NOx含量少于重油
-
- A.见图A
- B.见图B
- C.见图C
- D.见图D
- 查看答案
某水厂絮凝拟采用机械反应池,单池流量Q=10800m3/d,水力停留时间20min,分三级搅拌,每级容积相同,搅拌强度采用第一级G=60s^-1,第二级G=40s^-1,第三级G=20s^-1,水温20℃(水温20℃时,水的黏度为1.002×10^-3Pa·s,取搅拌效率η1=0.75,传动效率η2=0.8),则该池第二级搅拌机所需电机功率为( )。
A 0.48kW
B 0.30kW
C 0.13kW
D 0.03kW
-
- A.见图A
- B.见图B
- C.见图C
- D.见图D
- 查看答案