A施工单位承建某新建单线铁路工程中有1座隧道工程长2600m,其余路段为路基土石方。根据设计图纸,正洞中围岩的绝大部分是Ⅱ级围岩,局部有节理较发育的Ⅲ级围岩,进口处50m为埋深较深且比较破碎的Ⅴ级围岩,拟采用小断面弱爆破暗挖法,并辅助进行超前支护。出口处40m埋深较浅且极易破碎的Ⅵ级围岩,拟采用明挖法,修筑一段明洞。正洞开挖施工拟采用全断面钻爆法。在施工前及施工中有以下情况:
1.进口处的软弱围岩施工拟采用“管超前、严注浆、长进尺、勤量测、晚封闭、快衬砌”的工法。
2.施给中选择的监控量测项目有洞内外观察、水平相对净空变化值和隧道底部隆起等项目。
3.进洞支护方案采用喷射混凝土支护方法,正洞支护采用超前支护方法。出砟方案采用有轨运输方式。
4.每一单口循环开挖进度为2. 80m,综合循环时间为12. 4h。假定按三班制组织施工,每月作业时间30d,考虑工程环境和时间利用率后的修正系数0.85。隧道从进出口外不具备作业面条件,进口处施工需1个月,出口段及明洞需3个月,施工准备2个月(不考虑两工作面相向施工临近贯通相距8循环进尺前一方要撤出对工期的影响)。
5.工程实施过程中,施工单位A将隧道出口明挖段回填土工程外加与此连接的1500m路基土石方工程直接分包给某施工单位B,并签订分包合同。工程铺轨前,监理单位组织路基检测时发现明挖段路基填方密实度不合格。
6.在一次爆破中发生一起安全事故,轻伤2人。经调查此2人不是爆破工却执行了爆破作业。
问题
1.进口处软弱围岩的工法是否有不妥之处?若不妥,指出不妥之处,并改正。
2.施丁中选择的监控量测项目是否完整?如不完整,请补充。
3.背景3中的施工方案是否正确?若不妥,请说明正确做法。
4.由背景4数据计算:(1)单口月开挖进度;(2)如果该隧道开设两个工作面,计算该隧道工程的掘进工期(不考虑两工作面相向施工临近贯通点应由单工作面开挖对工期的影响)。
5.对于填土质量问题,A施工单位是否有责任?在工程质量方面,两单位有何关系?
6.针对背景6中提到的安全事故,事故发生的原因是什么?对于爆破人员管理和爆破组织应注意哪些问题?
正确答案及解析
正确答案
解析
1.有不妥之处。进口处软弱围岩应坚持“短进尺”和“早封闭”原则。
2.不完整。隧道监控量测项目还必须有“拱顶下沉”和“洞口段地表下沉”量测项目。
3.不正确。根据本工程实际,进洞支护方案应采用超前支护方案;正洞支护可采取喷射混凝土的普通支护方法;对于长度短且大断面开挖隧道,出砟方案应采用无轨运输方式,并应注意加强通风。
(1)单口月开挖进度为:(24/12. 4) X 2. 8 X 30 X 0. 85≈130m
(2)如采用单口掘进,正洞掘进持续时间:2600/130 = 20个月
采用双口掘进,进口段进洞1个月,出口段需3个月,进口段作业面比出口段作业面早施工2个月。进口段与出口段工作面各分摊1个月。
进口段工作面在正洞内施工时间:20/2 + 1 = 11个月,总时间:11 + 1 + 2 = 14个月。
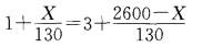
或:设进口段工作面在正洞内掘进Xm,出口段工作面在正洞内掘进(2600 - X)m。进口和出口段自施工准备完成后同时开始施工,平行作业。则两工作面工作时间应满足以下等式:

解得:X=1430(m)
两工作面各自工作时间(含施工准备时间):
5.对于合同约定的工程项目范围内的填土不实,施工单位A应承担连带责任。承包方应对项目质量向发包方负责,分包工程的质量应由分包方向承包方负责,承包方应对分包方的工程质量向发包方承担连带责任。分包方应接受承包方的管理。
6. (1)此次安全事故发生的原因有:违反爆破操作规程或劳动纪律;对现场工作缺乏检查或指挥错误;安全设施缺少或有缺陷。(2)爆破人员必须经工程所在地县以上公安部门考核合格后,持《爆破员合格证》上岗;爆破作业必须有统一指挥,按照爆破施工方案和作业规程严格实施。
你可能感兴趣的试题
某安装单位中标一综合机电总承包安装工程,合同造价3000 万元,项目施工内容包括:
净化空调系统(洁净度等级为N7)、储罐安装等。合同工期12 个月,2014 年8 月5 日开工。
安装单位在施工前,对并联水泵出口接管图纸进行了施工优化,其中水平主管和立管的接管方式如下:

在空调系统调试中,安装单位发现风管在系统启动时产品颤动且有噪声,经查是风管制作原因导致,安装单位采取相应措施处理后系统恢复正常。风管连接时,安装单位采用S 形插条连接,安装完毕后进行漏风量检测,漏风量严重超标。监理单位要求安装单位整改。
安装单位的技术人员对储罐的罐底焊缝采用真空箱法进行严密性试验,并对罐壁采用充水方式进行强度及严密性试验。
该工程在2015 年8 月5 日竣工验收,建设单位在2017 年8 月26 日发现空调不制冷后要求安装单位进行质量保修。
问题:
1.并联水泵出口水平主管与立管的接管方式是否正确?说明理由。画出正确的接管示意图(单线图)。
2.此工程的风管系统属于何种压力等级?分析造成风管颤动及噪声的制作原因。
3.分析风管漏风量严重超标的原因,应如何整改。
4.真空箱法的试验最低负压值是多少?简述罐壁的强度及严密性试验充水方法和合格标准。
5.安装单位是否应对空调系统进行质量保修?说明理由。写出该空调工程质保期的结束时间。
- 查看答案
某制氧站经过招投标,由具有安装资质的公司承担全部机电安装工程和主要机械设备的采购。安装公司进场后,按合同工期,工作内容,设备交货时间,编制了施工进度计划如表1。
表1施工进度计划

在计划实施过程中,电气安装滞后10天,调试滞后3天。
A公司在设备采购时,在性价比方面对制造厂商进行了咨询,从中选择了备选厂商,进行了邀请招标。
在制氧机法兰和管道法兰连接时,施工班组未对法兰的偏差进行检验,即进行法兰连接,遭到项目工程师的制止。
整个工程施工完毕后,经过中间交接,建设单位组织了联动试运行,生产线各项指标均达到要求。
问题:
1.根据表1计算总工期需多少天?电气安装滞后及调试滞后是否影响总工期?并分别说明理由。
2.在选择供应商时,应考虑哪些因素?
3.制氧机在固定后,应如何与管道连接?
4.联动试运行生产线应达到什么要求?
- 查看答案
工业安装工程中,分部分项工程质量验收记录的检查评定结论由()编写。
-
- A.建设单位
- B.监理单位
- C.设计单位
- D.施工单位
- 查看答案
A 公司承接某机电安装工程,工程内容有:冷水机组、配电柜、水泵等设备的安装和冷水管道、电缆排管及电缆施工。施工中发生了如下事件:
事件1:班组领料时,材料员按照材料计划进行发料,并在管端进行了涂色标记,但由于施工班组管理不善,在使用时还是发生了混料现象,不得不重新进行检验。
事件2:由于冷水管道有些采用国外进口材料,A 公司此前从没有遇到过,由于工期较紧,项目部抽调2 名技术较好的焊工进行相应练习后,就进行管道施焊。
事件3:由于本工程所使用的都是低压电缆,A 公司在使用前进行了封端密封试验,施工后进行了相关试验,确保电缆施工质量符合要求。
事件4:质检员在进行检查时,发现冷冻水泵进出管道布置如图1 所示,遂要求施工班组进行整改。

【问题】:
1.材料混料问题出现在哪个环节,为什么?
2.冷水管道焊接的做法是否正确,应如何进行?
3.电缆封端严密性试验的方法是什么?电缆还应做哪些试验?
4.说明正确的接管形式,请画出正确的接管示意图?
- 查看答案
某水泥厂新建一条日产5000t新型干法水泥生产线,其中机电安装工程以GC模式进行了公开招标,共有A、B、C、D、E五家公司参与投标。评标委员会由6人组成,其中有建设单位邀请的4名经济技术专家和2名建设单位代表,在评标过程中,由于A公司为私营企业,评标委员会要求A公司如果中标需多交10%的质量保证金,A公司提出抗议,但未被采纳。B公司认真研究了招标文件,在施工组织设计编制中,重点描述了企业信誉、施工装备、技术水平等自身优势,争取对评标人员有较大的吸引力,但优点不够突出,最终由准备更加充分的C公司中标。生产线变电设备使用油浸式变压器,由于变压器本身较重,运输时变压器内未充绝缘油,开箱检查时发现变压器内部潮湿,绝缘电阻值达不到要求,后经干燥处理达到了设计要求。C公司经二次搬运、吊装、就位、吊芯检查及干燥等工作后,对其绕组连同套管一起的直流电阻测量、极性和组别测量等进行了多项试验。并顺利完成安装任务。粉末设备使用的φ2.2m×7m球磨机重30t,项目部根据现场情况编制了详细的安全专项吊装方案。吊装方案拟采用两台50t汽车吊抬吊,根据现场情况和起重机的特性曲线,选择了合适的起重机。破碎机的动力设备使用30KW交流异步电动机,电机安装完成后,进行单机试运行,发现电机噪声较大,后经检查发现有2组垫铁在设备运转后被振松动,与设备接触不良造成。后经技术处理,运转正常。所有电气和设备安装调试完成后,由建设单位组织相关单位进行了试运行,顺利通过验收。
【问题】
1.指出本案例中评标委员会的构成存在哪些问题?A公司提出的抗议是否合理?说明理由。
2.案例中油浸式变压器运输时应采取的特定措施有哪些?变压器交接时还应进行哪些试验?
3.简述流动式起重机特性曲线的含义。
4.针对本案例中的垫铁松动可以采取哪些措施?影响电机安装精度的因素还有哪些?
- 查看答案