2014年,某区限额以上第三产业单位共674家,实现收入1059.1亿元,同比增长4.5%;实现利润总额13.5亿元,同比增长11.9%,从业人员达到58631人,同比下降4.3%。

2014年该区限额以上第三产业单位平均每名从业人员创造的利润比上年约:
- A.下降7%
- B.下降17%
- C.上升7%
- D.上升17%
正确答案及解析
正确答案
解析
第一步,本题考查平均数增长率计算。
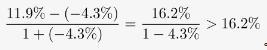
第二步,定位文字材料,“2014年,某区限额以上第三产业单位……实现利润额13.5亿元,同比增长11.9%,从业人员达到58631人,同比下降4.3%”。
第三步,由平均数增长率计算公式

可得该区限额以上第三产业单位平均每名从业人员创造的利润相比上年的增长率约为

因此,选择D选项。
包含此试题的试卷
你可能感兴趣的试题
航空界有个关于飞行安全的“海恩法则”:每一起严重事故的背后,必然有29次轻微事故和300起未遂先兆及1000起事故隐患。“海恩法则”启示我们( )。
-
- A.规律是客观的,我们要善于发现和利用规律
- B.量变是质变的前提,质变是量变的必然结果
- C.矛盾是普遍的、客观的
- D.任何事物之间都存在联系
- 查看答案
一位科学家说:“我们今天生活着的世界,与其说是自然世界,还不如说是人造或人为的世界。在我们的周围,几乎每样东西都刻有人的技能的痕迹。” 这段话应理解为( )。
-
- A.人类世界是人的实践活动对象化的结果
- B.科学技术越来越成为人类改造世界的伟大力量
- C.自在自然日益转化为人化自然
- D.现实世界是人类精神的创造物
- 查看答案
人类在太空活动中发展起来的技术可以为人类造福,但太空活动留下的大量航空器残骸等太空垃圾却可能给人类带来巨大的危害。这个事实印证了一个古老的哲学命题:“福兮,祸之所伏”。这个命题表明(? )。
①矛盾双方逐渐融合趋向一个无差别的统一体
②矛盾双方是相互对立,相互分离的趋势
③矛盾双方相互贯通,在一定条件下相互转化
④矛盾双方相互依赖,共处于一个统一体中
-
- A.①②
- B.②③
- C.③④
- D.①④
- 查看答案
“人的本质不是单个人所固有的抽象物,在其现实性上,它是一切社会关系的总和。”
这句话说明_______。
-
- A.自然属性是人的本质属性
- B.自然属性和社会属性都是人的本质属性
- C.社会属性是人的本质属性
- D.自然属性和社会属性都不是人的本质属性
- 查看答案
“正能量”指的是一种健康乐观、积极向上的动力和情感。当下中国社会涌现了许多富有正能量的人和事,这些催人奋进的、充满希望的人和事也带动和影响了周围一批人。从哲学角度看:
①正能量具有指导作用,能够将人们的愿望变成现实
②正能量具有能动性,能够给人带来信心和力量
③正能量具有反作用,能对人体生理活动进行调节和控制
④正能量具有创造性,能直接转化为物质力量
-
- A.①②
- B.①④
- C.②③
- D.③④
- 查看答案