题目详情

在存货经济订货批量模型中,与经济订货量呈反方向变化的变量是(  )。[2008年初级真题]

  • A.存货全年需要量
  • B.存货保险储备量
  • C.每批订货成本
  • D.单位存货年储存成本

正确答案及解析

正确答案
D
解析

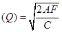
经济批量是指一定时期储存成本和进货费用总和最低的采购批量。这两种成本的高低与订货批量多少的关系是相反的。订购的批量大,储存的存货就会多,会使储存成本上升,但由于订货次数减少,会使进货费用降低;反之,如果降低订货批量,可以降低储存成本,但由于订货次数增加,会使进货费用上升。存货控制的目的,就是寻找这两种成本合计数量最低的订购批量,即经济订购批量。经济批量初级审计专业相关知识,章节真题,企业财务管理,A—全年需要量;Q—每批订货量;F—每批订货成本;C—每件年储存成本,即与经济订货量呈反方向变化的变量是单位存货年储存成本。

你可能感兴趣的试题

单选题

下列各项中,与丧失现金折扣的机会成本呈反向变化的是:

  • A.现金折扣率
  • B.折扣期
  • C.信用标准
  • D.信用期
查看答案
单选题

出租人既出租某项资产,又以该项资产为担保借入资金的租赁方式是( )。

  • A.直接租赁
  • B.售后回租
  • C.杠杆租赁
  • D.经营租赁
查看答案
单选题

在确定企业的收益分配政策时,应当考虑相关因素的影响,其中“资本保全约束”属于( )。

  • A.股东因素
  • B.公司因素
  • C.法律因素
  • D.债务契约因素
查看答案
单选题

某公司向银行借款100 万元,年利率为8%,银行要求保留12%的补偿性余额,则该借款的实际年利率为( )。

  • A.6.67%
  • B.7.14%
  • C.9.09%
  • D.11.04%
查看答案
单选题

根据票据与支付结算法律制度的规定,下列关于汇票的相关表述中,不正确的是( )

  • A.未记载出票日期的,视为见票即付的票据
  • B.未记载付款日期的,视为见票即付的票据
  • C.未记载付款地的,付款人的营业场所、住所或者经常居住地为付款地
  • D.未记载出票地的,出票人的营业场所、住所或者经常居住地为出票地
查看答案

相关题库更多 +