某公司目前拥有资金1500万元,其中长期借款800万元,年利率10%,优先股200万元,年股息率15%,普通股50万股,每股市价10元,企业变动成本率为40%,固定成本为60万元。所得税税率25%,现准备追加筹资360万元,有两种筹资方式可供选择:方案A:发行债券360万元,年利率12%;方案B:发行普通股360万元。增发30万股,每股发行价12元。
(二)要求:根据上述资料,从下列问题的备选答案中选出正确答案
下列说法中正确的是()。
- A.方案A与方案B的每股利润无差别点的销售收入为456万元
- B.方案A与方案B的每股利润无差别点的销售收入为492万元
- C.方案A与方案B的每股利润无差别点的销售收入为544万元
- D.方案A与方案B的每股利润无差别点的销售收入为563万元
正确答案及解析
正确答案
B
解析
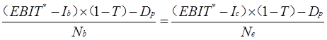
解析:设每股利润无差别点时的销售收入为R,则每股收益无差别点的计算公式为:

其中,EBIT*表示每股收益无差别点处的息税前利润;Ib表示采用债务筹资方案时需支付的利息;Dp表示优先股股息;Ie表示采用股权筹资方案时需支付的利息;Nb表示采用债务筹资方案时的股份数;Ne表示采用股权筹资方案时的股份数;T表示所得税税率。则:

解得每股利润无差别点的销售收入R=492(万元)。
你可能感兴趣的试题
某公司向银行借款100 万元,年利率为8%,银行要求保留12%的补偿性余额,则该借款的实际年利率为( )。
-
- A.6.67%
- B.7.14%
- C.9.09%
- D.11.04%
- 查看答案
下列各项中,与丧失现金折扣的机会成本呈反向变化的是:
-
- A.现金折扣率
- B.折扣期
- C.信用标准
- D.信用期
- 查看答案
出租人既出租某项资产,又以该项资产为担保借入资金的租赁方式是( )。
-
- A.直接租赁
- B.售后回租
- C.杠杆租赁
- D.经营租赁
- 查看答案
在确定企业的收益分配政策时,应当考虑相关因素的影响,其中“资本保全约束”属于( )。
-
- A.股东因素
- B.公司因素
- C.法律因素
- D.债务契约因素
- 查看答案
根据票据与支付结算法律制度的规定,下列关于汇票的相关表述中,不正确的是( )
-
- A.未记载出票日期的,视为见票即付的票据
- B.未记载付款日期的,视为见票即付的票据
- C.未记载付款地的,付款人的营业场所、住所或者经常居住地为付款地
- D.未记载出票地的,出票人的营业场所、住所或者经常居住地为出票地
- 查看答案