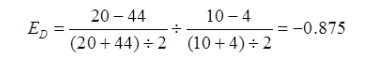
只考虑价格因素影响,某货物A的铁路运输需求函数为Q=60-4P。
当P1=4,P2=10时,弧弹性为( )。
- A.-0.25
- B.-0.74
- C.-0.875
- D.-1.38
正确答案及解析
正确答案
C
解析
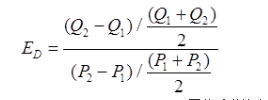
为避免需求曲线上某一段的需求价格弧弹性,由于运价变化方向不同,其在计算时出现不同的弧弹性值,通常采用两点价格的平均值和两点之间需求量的平均值来分别代替P和Q,弧弹性的计算公式为:

依据题意,P1=4,P2=10,Q=60-4P,故Q1=60-4×4=44,Q2=60-4×10=20,因此弧弹性为:

你可能感兴趣的试题
小王于2016年1月1日购买一款期限1年、到期一次性支付本息的银行理财产品,初始投资2万元。该产品按复利每季度计息一次,年利率为8%。则到期后小王一共能获得本息()元。
-
- A.20400.00
- B.21600.00
- C.21648.64
- D.27209.79
- 查看答案
在商业银行资产负债管理方法中,用来衡量银行资产与负债之间重定价期限和现金流量到期期限匹配情况的方法是()分析法。
-
- A.敞口限额
- B.久期
- C.情景模拟
- D.缺口
- 查看答案
下列假设条件中,属于布莱克斯科尔斯期权定价模型假定的有()。
-
- A.无风险利率为常数
- B.没有交易成本、税收和卖空限制,不存在无风险套利机会
- C.标的资产在期权到期之前可以支付股息和红利
- D.市场交易是连续的
- E.标的资产价格波动率为常数
- 查看答案
根据《公司法》规定,公司经营管理发生严重困难,继续存续会使股东利益受到重大损失,通过其他途径不能解决的,持有公司全部股东表决权( )以上的股东,可以请求人民法院解散公司。
-
- A.3%
- B.5%
- C.8%
- D.10%
- 查看答案
如果既定的资源配置状态能够在其他人福利水平不下降的情况下,通过资源重新配置使至少一个人的福利水平有所提高,这种资源重新配置被称为( )。
-
- A.一般均衡状态
- B.帕累托改进
- C.瓦尔拉斯均衡
- D.帕累托最优
- 查看答案