某35kV架空配电线路,当系统基准容量取100MVA,线路电抗值为0.43Ω时,该线路的电抗标幺值应为下列哪项数值?( )
- A.0.031
- B.0.035
- C.0.073
- D.0.082
正确答案及解析
正确答案
A
解析
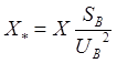
根据《工业与民用配电设计手册》(第四版)P281,由表4.6-3可知线路电抗的标幺制和有名值换算公式为:

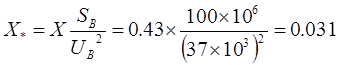
(标幺值=有名值/基准值)。系统UB=37kV,因此,该线路的电抗标幺值为:

某35kV架空配电线路,当系统基准容量取100MVA,线路电抗值为0.43Ω时,该线路的电抗标幺值应为下列哪项数值?( )
根据《工业与民用配电设计手册》(第四版)P281,由表4.6-3可知线路电抗的标幺制和有名值换算公式为:

(标幺值=有名值/基准值)。系统UB=37kV,因此,该线路的电抗标幺值为:
