某单相照明线路上有5只220V200W的金属卤化物灯和3只220V100W的LED灯,则该线路的计算电流为( )。
- A.7.22A
- B.5.35A
- C.5.91A
- D.6.86A
正确答案及解析
正确答案
D
解析
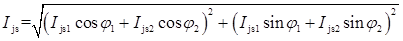
《发电厂和变电所照明设计技术规定》(DL/T 5390—2014)第8.6.2-1条规定,
单相照明线路计算电流应按下列公式计算:Ijs=Pjs/(Uexgcosφ)(气体放电灯、发光二极管和无极荧光灯)。式中,Pjs为线路计算负荷(kW);Uexg为线路额定相电压(kV);cosφ为光源功率因数。
当照明负荷为两种光源时,线路计算电流可按下式计算:

对高强气体放电灯取cosφ=0.85,sinφ=0.527;对荧光灯,发光二极管,无极荧光灯取cosφ1=0.9,sinφ1=0.436。
则金属卤化物灯(气体放电灯)的计算电流:

LED灯(发光二极管)的计算电流:

线路计算电流为:

包含此试题的试卷
你可能感兴趣的试题
关于评标委员会组成的说法,正确的是( )。
-
- A.招标人代表2人,专家6人
- B.招标人代表2人,专家5人
- C.招标人代表2人,专家4人
- D.招标人代表2人,专家3人
- 查看答案
在驻波中,两个相邻波节间各质点的振动( )。
-
- A.振幅相同,相位相同
- B.振幅不同,相位相同
- C.振幅相同,相位不同
- D.振幅不同,相位不同
- 查看答案
1mol的单原子分子理想气体从状态A变为状态B,气体未知,变化过程也未知,但A、B两态的压强、体积和温度都知道,则可求出( )。
-
- A.气体所作的功
- B.气体内能的变化
- C.气体传给外界的热量
- D.气体的质量
- 查看答案
在一封闭容器中,理想气体的算术平均速率提高一倍,则( )。
-
- A.温度为原来的1/4,压强为原来的4倍
- B.温度为原来的4倍,压强为原来的1/4
- C.温度和压强都提高为原来的1/4
- D.温度和压强都提高为原来的4倍
- 查看答案
一定量的理想气体在进行卡诺循环时,高温热源的温度为500K,低温热源的温度为400K。则该循环的效率为( )。
-
- A.56%
- B.34%
- C.80%
- D.20%
- 查看答案