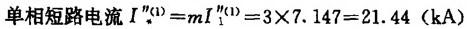
若已知系统简图如图5-8所示。且图中正序电抗x1Σ=0.055,负序电抗x2Σ=0.0565,零序电抗x0Σ=0.0424,Sj=1000MVA。

单相短路电流I" (1)为()。
- A.22.44kA;
- B.21.44kA;
- C.23.44kA;
- D.20.44kA,
正确答案及解析
正确答案
B
解析

你可能感兴趣的试题
关于评标委员会组成的说法,正确的是( )。
-
- A.招标人代表2人,专家6人
- B.招标人代表2人,专家5人
- C.招标人代表2人,专家4人
- D.招标人代表2人,专家3人
- 查看答案
在驻波中,两个相邻波节间各质点的振动( )。
-
- A.振幅相同,相位相同
- B.振幅不同,相位相同
- C.振幅相同,相位不同
- D.振幅不同,相位不同
- 查看答案
依据《安全生产法》的规定,生产经营单位主要负责人必须是生产经营单位生产经营活动的( )。
-
- A.法定代表人
- B.董事长
- C.总负责人
- D.主要决策人
- 查看答案
1mol的单原子分子理想气体从状态A变为状态B,气体未知,变化过程也未知,但A、B两态的压强、体积和温度都知道,则可求出( )。
-
- A.气体所作的功
- B.气体内能的变化
- C.气体传给外界的热量
- D.气体的质量
- 查看答案
在一封闭容器中,理想气体的算术平均速率提高一倍,则( )。
-
- A.温度为原来的1/4,压强为原来的4倍
- B.温度为原来的4倍,压强为原来的1/4
- C.温度和压强都提高为原来的1/4
- D.温度和压强都提高为原来的4倍
- 查看答案