两单元体分别如图a、b所示,关于其主应力和主方向,下面论述正确的是( )。

- A.主应力大小和方向均相同
- B.主应力大小相同,但方向不同
- C.主应力大小和方向均不同
- D.主应力大小不同,但方向相同
正确答案及解析
正确答案
B
解析
平面应力状态的主应力计算公式为:

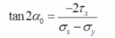
主平面所在截面的方位α0,可由下式确定:

由图可知,两单元体σx大小方向相同,σy=0;τ大小相同,方向不同。因此,由第一个公式可得,主应力大小相同;由第二个公式可得,主应力的方向相反。
两单元体分别如图a、b所示,关于其主应力和主方向,下面论述正确的是( )。

平面应力状态的主应力计算公式为:

主平面所在截面的方位α0,可由下式确定:

由图可知,两单元体σx大小方向相同,σy=0;τ大小相同,方向不同。因此,由第一个公式可得,主应力大小相同;由第二个公式可得,主应力的方向相反。