题目详情

(2020年真题)某工程施工现有两个对比的技术方案,方案1需投资200万元,年生产成本120万元;方案2与方案1应用环境相同的情形下,需投资300万元,年生产成本100万元。设基准投资收益率为10%,采用增量投资收益率法选择方案,正确的有(  )。

  • A.方案2与方案1相比,增量投资收益率为10%
  • B.方案2与方案1相比,在经济上可行。
  • C.当基准投资收益提高为15%时,方案2优于方案1
  • D.方案2比方案1投资高出50%,超过基准收益率,经济上不可行
  • E.当基准投资收益率降低为8%时,方案1优于方案2

正确答案及解析

正确答案
B、C
解析

P82-86

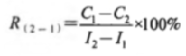
一建建设工程经济,真题专项训练,一建建设工程经济R(2-1)=(120-100)/(300-200)=20%,当R(2-1)大于或等于基准投资收益率时,表明新方案是可行的。

你可能感兴趣的试题

多选题

根据《招标投标法实施条例》,视为投标人相互串通投标的情形有( )。

  • A.投标人之间协商投标报价
  • B.不同投标人委托同一单位办理投标事宜
  • C.不同投标人的投标保证金从同一单位的账户转出
  • D.不同投标人的投标文件载明的项目管理成员为同一人
  • E.投标人之间约定中标人
查看答案
单选题

某建设工程项目中标人与招标人签订合同并备案的同时,双方针对结算条款签订了与备案合同完全不同的补充协议。后双方因计价问题发生纠纷,遂诉至法院。法院此时应该( )作为结算工程款的依据。

  • A.双方达成的补充协议
  • B.双方签订的备案合同
  • C.类似项目的结算价格
  • D.市场的平均价格
查看答案
多选题

建筑安装工程费用项目组成中,暂列金额主要用于( )。

  • A.施工合同签订时尚未确定的材料设备采购费用
  • B.施工图纸以外的零星项目所需的费用
  • C.隐藏工程二次检验的费用
  • D.施工中可能发生的工程变更价款调整的费用
  • E.项目施工现场签证确认的费用
查看答案
多选题

混凝土拌合物的和易性包括( )。

  • A.保水性
  • B.耐久性
  • C.黏聚性
  • D.流动性
  • E.抗冻性
查看答案
单选题

某医院病房楼,当设计无要求时,室内疏散楼梯净宽度最小值是()。

  • A.1.1m
  • B.1.2m
  • C.1.3m
  • D.1.5m
查看答案

相关题库更多 +