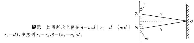
在双缝干涉实验中,若在两缝后(靠近屏一侧)各覆盖一块厚度均为d,但折射率分别为n1和n2的透明薄片,从两缝发出的光在原来中央明纹处相遇时,光程差为:
- A.d(n2-n1)
- B.2d(n2-n1)
- C.d(n2-1)
- D.d(n1-1)
正确答案及解析
正确答案
A
解析

你可能感兴趣的试题
关于评标委员会组成的说法,正确的是( )。
-
- A.招标人代表2人,专家6人
- B.招标人代表2人,专家5人
- C.招标人代表2人,专家4人
- D.招标人代表2人,专家3人
- 查看答案
己二胺和己二酸缩合得到的产物是( )。
-
- A.尼龙66
- B.环氧树脂
- C.丁腈橡胶
- D.尼龙6
- 查看答案
将pH=2.00的HCl溶液与pH=13.00的NaOH溶液等体积混合后,溶液的pH值是( )。
-
- A.7.00
- B.12.65
- C.3.00
- D.11.00
- 查看答案
比较原子半径大小,下列叙述错误的是( )。
-
- A.K>Na
- B.S>P
- C.Al>Si
- D.Na>Mg
- 查看答案
3d轨道的磁量子数m的合理值是:
-
- A.1、2、3
- B.0、1、2
- C.3
- D.0、±1、±2
- 查看答案