题目详情

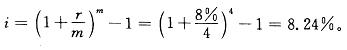
某企业向银行借款,按季度计息,年名义利率为8%,则年实际利率为:

  • A.8%
  • B.8.16%
  • C.8. 24%
  • D.8.3%

正确答案及解析

正确答案
C
解析

提示 利用由年名义利率求年实际利率的公式计算:

注册环保工程师公共基础,章节练习,工程经济

你可能感兴趣的试题

单选题

电气工程师基础专业知识,预测试卷,2021年注册电气工程师《专业基础》预测试卷5

电气工程师基础专业知识,预测试卷,2021年注册电气工程师《专业基础》预测试卷5

  • A.见图A
  • B.见图B
  • C.见图C
  • D.见图D
查看答案
单选题

电气工程师基础专业知识,预测试卷,2021年注册电气工程师《专业基础》预测试卷5

  • A.见图A
  • B.见图B
  • C.见图C
  • D.见图D
查看答案
单选题

电气工程师基础专业知识,预测试卷,2021年注册电气工程师《专业基础》预测试卷5

电气工程师基础专业知识,预测试卷,2021年注册电气工程师《专业基础》预测试卷5

  • A.见图A
  • B.见图B
  • C.见图C
  • D.见图D
查看答案
单选题

电气工程师基础专业知识,预测试卷,2021年注册电气工程师《专业基础》预测试卷5电气工程师基础专业知识,预测试卷,2021年注册电气工程师《专业基础》预测试卷5

电气工程师基础专业知识,预测试卷,2021年注册电气工程师《专业基础》预测试卷5

  • A.见图A
  • B.见图B
  • C.见图C
  • D.见图D
查看答案
单选题

电气工程师基础专业知识,预测试卷,2021年注册电气工程师《专业基础》预测试卷5

  • A.见图A
  • B.见图B
  • C.见图C
  • D.见图D
查看答案

相关题库更多 +