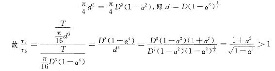
图示两根圆轴,横载面面积相同但分别为实心圆和空心圆。在相同的扭矩T作用下,两轴最大切应力的关系是:
- A.τab
- B.τa=τb
- C.τa>τb
- D.不能确定<img src='http://tp.mxqe.com/data/233/2659084_0.jpg' alt='注册环保工程师公共基础,章节练习,材料力学' title='注册环保工程师公共基础,章节练习,材料力学'>
正确答案及解析
正确答案
C
解析
提示 设实心圆直径为山空心圆外径为D,空心圆内外径之比为a,因两者横截面积相同,故有








