题目详情

某条形基础上部荷载250kN/m,埋深1.5m,基底以上土的重度16kN/m3,深度修正后的承载力特征值为130kPa,既满足承载力要求又经济合理的基础底宽为(  )。

  • A.1.5
  • B.2.0
  • C.2.5
  • D.3.0

正确答案及解析

正确答案
C
解析

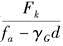
条形基础为了计算方便,通常取l=1m进行计算。底面积A的计算公式

结构专业基础考试一级,章节练习,一级注册结构工程师《专业基础》

其中Fk为线荷载,fa为修正后的地基承载力特征值,γG为基础及其台阶上回填土的平均重度,通常采用γG=20kN/m3,d为基础平均埋深。所求的A值在数值上等于基底宽度b,代入数值求得A≥2.5m2,故取b为2.5m。

包含此试题的试卷

你可能感兴趣的试题

单选题

TCP/IP协议是Internet中计算机之间通信所必须共同遵循的一种:

  • A.信息资源
  • B.通信规定
  • C.软件
  • D.硬件
查看答案
多选题

岩土专业知识,专项练习,注册岩土工程师《专知识业考试》模考题

  • A.见图A
  • B.见图B
  • C.见图C
  • D.见图D
查看答案
单选题

岩土专业知识,专项练习,注册岩土工程师《专知识业考试》模考题

岩土专业知识,专项练习,注册岩土工程师《专知识业考试》模考题

  • A.见图A
  • B.见图B
  • C.见图C
  • D.见图D
查看答案
单选题

岩土专业知识,专项练习,注册岩土工程师《专知识业考试》模考题

  • A.见图A
  • B.见图B
  • C.见图C
  • D.见图D
查看答案
单选题

岩土专业知识,专项练习,注册岩土工程师《专知识业考试》模考题

岩土专业知识,专项练习,注册岩土工程师《专知识业考试》模考题

  • A.见图A
  • B.见图B
  • C.见图C
  • D.见图D
查看答案

相关题库更多 +