题目详情

某钢筋混凝土框架结构标准厂房建筑,高两层,无地下室,框架柱柱距7.6m。通过公开招标程序,某施工单位与建设单位签订的承包合同部分内容如下:

工程合同总价2100万元,工程价款采用调值公式动态结算;该工程的人工费可调,占工程价款的35%;材料有4种可调:材料1占5%,材料2占15%,材料3占15%,材料4占10%。建设单位在开工前向承包商支付合同价的15%预付备料款,主要材料及构配件金额占合同总额的65%。竣工前全部结清。

开工前,施工单位制定了完整的施工方案,采用预拌混凝土,钢筋现场加工,采用覆膜多层板作为结构构件模板,模架支撑采用碗扣式脚手架。施工工序安排框架柱单独浇筑,第二步梁与板同时浇筑。施工过程发生如下事件:

事件一:结构设计按最小配筋率配筋,设计中有采用HPB235级φ12mm钢筋,间距200mm。由于当地建材市场HPB235级直径φ12mm钢筋被淘汰,施工单位征得监理单位和建设单位同意后,按等强度折算后,用HRB335级直径12mm(间距250mm)的钢筋进行代换,保证整体受力不变,并按此组织实施。

事件二:二层梁板施工阶段天气晴好,气温16~27℃。梁板模板安装并拼接整齐、严密并验收完毕,进行钢筋的安装,且钢筋绑扎经验收符合规范要求。在混凝土浇筑前,用水准仪抄平,保证每一构件底模表面在同一个平面上,无凹凸不平问题,开始浇筑混凝土,并现场制作混凝土试件。浇筑完毕20h覆盖并浇水养护。10d后从标准养护室取出一组试件送检试压,其强度达设计强度的80%,施工单位认为已超过设计强度75%,遂向技术负责人提出拆除底模与架体支撑的申请。

事件三:竣工结算时,统计生成的人工费及材料费价格指数如下表所示:

二建建筑工程实务,章节练习,二建建筑工程实务

施工单位按调值公式法重新计算实际结算价款。

问题:

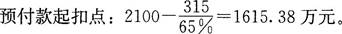
1.列式计算该工程预付备料款和起扣点各是多少?

2.指出事件一中的不妥之处,并分别说明理由。

3.指出事件二中的不妥之处,并分别说明理由。

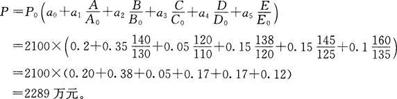
4.列出动态结算调值公式,并按事件三中价格指数计算调价后的实际结算价。

正确答案及解析

正确答案
解析

1.工程预付款:2100×15%=315万元;

二建建筑工程实务,章节练习,二建建筑工程实务

2.事件一中不妥之处和理由分别如下:

不妥之处一:按等强度折算后进行钢筋代换;

理由:当构件按最小配筋率配筋时,或同钢号钢筋之间的代换,按钢筋代换前后面积相等的原则进行代换。

不妥之处二:征得监理单位和建设单位同意后,按此组织钢筋代换;

理由:钢筋代换时,一定要征得设计单位的同意。

3.事件二中不妥之处和理由分别如下:

不妥之处一:保证每一构件底模表面在同一个平面上,无凹凸不平问题;

理由:对于跨度不小于4m的现浇钢筋混凝土梁、板,其模板应按设计要求起拱。当设计无具体要求时,起拱高度应为跨度的1/1000~3/1000。

不妥之处二:浇筑完毕20h后覆盖并浇水养护;

理由:应在混凝土浇筑完成、终凝前(通常为混凝土浇筑完毕后8~12h内)开始进行养护。

不妥之处三:以从标准养护室取出一组试件送检试压后的强度来判断拆除底模与架体支撑;

理由:应该用同条件养护试块试压后的强度判断拆除底模与架体支撑。

4.动态结构调值公式及计算过程如下:

先计算不调值部分所占比重:1-(0.35+0.05+0.15+0.15+0.1)=0.2;

二建建筑工程实务,章节练习,二建建筑工程实务

(此处计算若为连算,则答案为2303万元)

你可能感兴趣的试题

单选题

承包人已经提交竣工验收报告,发包人拖延验收的,竣工日期()。

  • A.以合同约定的竣工日期为准
  • B.相应顺延
  • C.以承包人提交竣工报告之日为准
  • D.以实际通过的竣工验收之日为准
查看答案
多选题

根据《建设工程质量管理条例》,最低保修期限不低于2年的工程有(  )。

  • A.外墙防渗漏
  • B.设备安装
  • C.给排水管道
  • D.防水工程
  • E.装修工程
查看答案
单选题

关于工程量清单计价方式下竣工结算的编制原则,下列说法中正确的是(  )。

  • A.措施项目费按双方确认的工程量乘以已标价工程量清单的综合单价计算
  • B.总承包服务费按已标价工程量清单的金额计算,不应调整
  • C.暂列金额应减去工程价款调整的金额,余额归承包人
  • D.工程实施过程中发承包双方已经确认的工程计量结果和合同价款,应直接进入结算
查看答案
单选题

(2019年) 根据《建筑施工企业负责人及项目负责人施工现场带班暂行办法》,属于建筑施工企业负责人的是 ( )。

  • A.实际控制人
  • B.副总工程师
  • C.主管经营的副总经理
  • D.项目经理
查看答案
单选题

把施工所需的各种资源、生产、生活活动场地及各种临时设施合理地布置在施工现场,使整个现场能有组织地进行文明施工,属于施工组织设计中(  )的内容。

  • A.施工部署
  • B.施工方案
  • C.安全施工专项方案
  • D.施工平面图
查看答案

相关题库更多 +