题目详情

某拟建工程由甲、乙、丙三个施工过程组成;该工程共划分成四个施工流水段,每个施工过程在各个施工流水段上的流水节拍如下表所示。按相关规范规定,施工过程乙完成后其相应施工段至少要养护2d才能进入下道工序。为了尽早完工,经过技术攻关,实现了施工过程乙在施工过程甲完成之前1d提前进入施工。

各施工段的流水节拍

二建建筑工程实务,章节练习,二建建筑工程实务

问题:

1.流水施工的常用组织形式有哪些。

2.该工程应采用何种流水施工组织形式。

3.计算各施工过程间的流水步距和总工期。

4.试编制该工程流水施工计划图。

正确答案及解析

正确答案
解析

1.流水施工的常用组织形式有:

(1)等节奏流水施工;

(2)异节奏流水施工;

(3)无节奏流水施工。

2.根据工程特点,该工程只能组织无节奏流水施工。

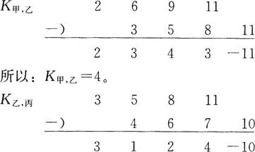
3.求各施工过程之间的流水步距:

(1)各施工过程流水节拍的累加数列

甲:2、6、9、11

乙:3、5、8、11

丙:4、6、7、10

(2)错位相减,取最大值的流水步距

二建建筑工程实务,章节练习,二建建筑工程实务

所以:K乙,丙=4。

(3)总工期

T=∑Kj,j+1+∑Z+∑G+tn-∑C=(4+4)+(4+2+1+3)+2-1=19d。

4.流水施工计划图如下所示:

无节奏流水施工计划图

二建建筑工程实务,章节练习,二建建筑工程实务

二建建筑工程实务,章节练习,二建建筑工程实务

你可能感兴趣的试题

单选题

承包人已经提交竣工验收报告,发包人拖延验收的,竣工日期()。

  • A.以合同约定的竣工日期为准
  • B.相应顺延
  • C.以承包人提交竣工报告之日为准
  • D.以实际通过的竣工验收之日为准
查看答案
多选题

根据《建设工程质量管理条例》,最低保修期限不低于2年的工程有(  )。

  • A.外墙防渗漏
  • B.设备安装
  • C.给排水管道
  • D.防水工程
  • E.装修工程
查看答案
单选题

关于工程量清单计价方式下竣工结算的编制原则,下列说法中正确的是(  )。

  • A.措施项目费按双方确认的工程量乘以已标价工程量清单的综合单价计算
  • B.总承包服务费按已标价工程量清单的金额计算,不应调整
  • C.暂列金额应减去工程价款调整的金额,余额归承包人
  • D.工程实施过程中发承包双方已经确认的工程计量结果和合同价款,应直接进入结算
查看答案
单选题

(2019年) 根据《建筑施工企业负责人及项目负责人施工现场带班暂行办法》,属于建筑施工企业负责人的是 ( )。

  • A.实际控制人
  • B.副总工程师
  • C.主管经营的副总经理
  • D.项目经理
查看答案
单选题

把施工所需的各种资源、生产、生活活动场地及各种临时设施合理地布置在施工现场,使整个现场能有组织地进行文明施工,属于施工组织设计中(  )的内容。

  • A.施工部署
  • B.施工方案
  • C.安全施工专项方案
  • D.施工平面图
查看答案

相关题库更多 +