一
背景资料
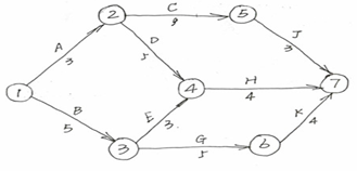
某施工单位承担一矿井采区巷道的施工任务,建设单位要求的工期为15个月,施工单位根据该矿井采区巷道的关系,编制了采区巷道施工网络进度计划(如图1所示),安排了4个施工队伍进行施工,各施工队伍的施工内容分别为:甲队A、C、J,乙队:B、G、K,丙队D、H,丁队:E。

图1采区巷道施工网络进度计划
监理单位在审查施工单位进度计划时发现其施工队伍安排不合理,建议只安排3个施工队伍,将J队的施工任务交由丙队去完成,施工单位通过研究,采纳了监理的意见。
在施工进行到12个月末检查发现,甲队施工进度超前,C工程已完成,且J工程已施工1个月,乙队因遇含水地层施工进度拖延,G工程完成,K工程尚未开始,丙队施工进度正常。
问题
1、施工单位编制的原网络进度计划计算工期是多少为确保工期施工中应重点控制哪些工程
2、针对监理单位的建议,施工单位应如何调整丙队的施工任务安排
3、针对G工程施工中出现的突出水事故,说明施工单位可获得索赔的具体内容及理由。
4、乙队施工进度发生拖延后,如果施工进度不变,考虑K工程可安排对头掘进,则应当如何安排方能确保建设单位的施工工期要求
正确答案及解析
正确答案
解析
1、施工单位编制的原网络进度计划计算工期是15天。为确保工期施工中应重点控制A、C、J工程或答成①--②、②--⑤、⑤--⑦。
2、监理单位建议只安排3个施工队伍,将J队的施工任务交由丙队去完成,故丙队施工任务是D、E、H。施工顺序为D—E—H。
3、针对G工程施工中出现的突出水事故,如在建设单位提供的地质资料中已明确,则施工单位不能索赔费用和工期。如在建设单位提供了地质资料中没有明确,则可索赔。可索赔内容包括工期和费用。
原因是此突出水事故不是施工单位原因,所以给施工单位造成费用增加和工期损失是可以索赔的。
4、乙队在12月末完成G工作,施工进度拖延2个月,乙队独立完成K工作(4个月),需工期16个月,比要求工期增加1个月。因甲队可提前一个月完成任 务,且K工作可对头掘进。甲队用1个月时间施工K工程。这样乙队用3个月完成K工程。总工期15个月不变。可满足建设单位的施工工期要求。
你可能感兴趣的试题
承包人已经提交竣工验收报告,发包人拖延验收的,竣工日期()。
-
- A.以合同约定的竣工日期为准
- B.相应顺延
- C.以承包人提交竣工报告之日为准
- D.以实际通过的竣工验收之日为准
- 查看答案
根据《建设工程质量管理条例》,最低保修期限不低于2年的工程有( )。
-
- A.外墙防渗漏
- B.设备安装
- C.给排水管道
- D.防水工程
- E.装修工程
- 查看答案
关于工程量清单计价方式下竣工结算的编制原则,下列说法中正确的是( )。
-
- A.措施项目费按双方确认的工程量乘以已标价工程量清单的综合单价计算
- B.总承包服务费按已标价工程量清单的金额计算,不应调整
- C.暂列金额应减去工程价款调整的金额,余额归承包人
- D.工程实施过程中发承包双方已经确认的工程计量结果和合同价款,应直接进入结算
- 查看答案
把施工所需的各种资源、生产、生活活动场地及各种临时设施合理地布置在施工现场,使整个现场能有组织地进行文明施工,属于施工组织设计中( )的内容。
-
- A.施工部署
- B.施工方案
- C.安全施工专项方案
- D.施工平面图
- 查看答案
(2019年) 根据《建筑施工企业负责人及项目负责人施工现场带班暂行办法》,属于建筑施工企业负责人的是 ( )。
-
- A.实际控制人
- B.副总工程师
- C.主管经营的副总经理
- D.项目经理
- 查看答案