题目详情

命题甲:|x|>5,命题乙:x>5,则( )

  • A.甲是乙的充分但不必要条件
  • B.甲是乙的必要但不充分条件
  • C.甲是乙的充要条件
  • D.甲不是乙的充分条件也不是乙的必要条件

正确答案及解析

正确答案
B
解析

本题主要考查的知识点为简易逻辑.

文科数学,押题密卷,2022年成人高等考试《文科数学》(高升本)押题密卷

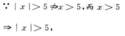
∴甲是乙的必要条件,但不是充分条件.

包含此试题的试卷

你可能感兴趣的试题

问答题

物理化学综合,章节练习,高起本高起专物理化学综合真题

查看答案
单选题

物理化学综合,章节练习,高起本高起专物理化学综合真题

  • A.增大压强
  • B.降低温度
  • C.增加水蒸气的量
  • D.增加一氧化碳的量
查看答案
问答题

物理化学综合,章节练习,高起本高起专物理化学综合预测

物理化学综合,章节练习,高起本高起专物理化学综合预测

查看答案
问答题

物理化学综合,章节练习,高起本高起专物理化学综合预测

查看答案
单选题

物理化学综合,章节练习,高起本高起专物理化学综合预测

  • A.氧气中
  • B.二氧化硫和氧气中
  • C.三氧化硫中
  • D.二氧化硫、氧气和三氧化硫中
查看答案

相关题库更多 +