
正确答案及解析
正确答案
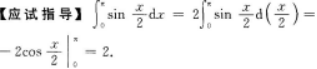
解析
本题考查了定积分的知识点.

你可能感兴趣的试题
胆汁的生理作用不包括( )
-
- A.中和一部分胃酸
- B.乳化脂肪
- C.促进蛋白质的吸收
- D.促进脂肪酸的吸收
- E.K的吸收
- 查看答案
7月16日,我国智能科技领域的最高奖“( )人工智能科学技术奖”揭晓,共评出66个获奖项目成果。浙江大学潘云鹤院士在计算机美学、数字图书馆、智能城市等领域取得多项重大成果,荣获该奖项的最高成就奖。
-
- A.黄昆
- B.金怡濂
- C.谷超豪
- D.吴文俊
- 查看答案
近日,全国政协常委、中国佛教协会副会长、中国佛教协会西藏分会会长班禅额尔德尼·确吉杰布在西藏自治区拉萨市主持召开年轻活佛培养教育座谈会。班禅说,藏传佛教传承千年,是佛教( )的具体产物,是中华文化宝库中的一颗璀璨明珠。
-
- A.中国化
- B.制度化
- C.规范化
- D.程序化
- 查看答案
2022全球数字经济大会以“( )”为主题,定于7月28-30日在北京举办。
-
- A.启航数字文明——新要素、新规则、新格局
- B.激活数据价值 服务数字经济
- C.激发数据潜能 共赢数字未来
- D.发挥优势 共创未来——打造数字经济国际合作先行区
- 查看答案
7月12日下午,习近平来到新疆大学考察调研时强调,育人的根本在于( )。
-
- A.立德
- B.立学
- C.树人
- D.育才
- 查看答案