题目详情
全站导航
首页
试卷库
试题库
试卷导航
建筑工程
职业资格
公务员
财会类
医卫类
外语类
计算机类
学历类
试题导航
建筑工程
职业资格
公务员
财会类
医卫类
外语类
计算机类
学历类
查看答案
纠错
正确答案及解析
正确答案
解析
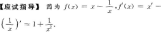
本题考查了一阶导数的性质的知识点.
你可能感兴趣的试题
单选题
胆汁的生理作用不包括( )
A.中和一部分胃酸
B.乳化脂肪
C.促进蛋白质的吸收
D.促进脂肪酸的吸收
E.K的吸收
查看答案
问答题
查看答案
问答题
查看答案
问答题
查看答案
问答题
查看答案
相关题库
更多 +
大学语文(专升本)
高等数学二(专升本)
英语(专升本)
艺术概论(专升本)
医学综合(专升本)
民法(专升本)
教育理论(专升本)
政治(专升本)
题目纠错
提交
取消