题目详情

高等数学一(专升本),章节练习,高等数学一真题

正确答案及解析

正确答案
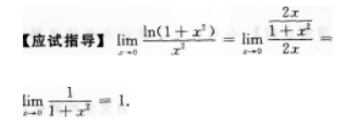
解析

本题考查了洛必达法则的知识点.

高等数学一(专升本),章节练习,高等数学一真题

你可能感兴趣的试题

单选题

胆汁的生理作用不包括( )

  • A.中和一部分胃酸
  • B.乳化脂肪
  • C.促进蛋白质的吸收
  • D.促进脂肪酸的吸收
  • E.K的吸收
查看答案
单选题

在教育学理论发展中,提出儿童智力发展阶段与教学关系理论的教育家是()。

  • A.赞可夫
  • B.皮亚杰
  • C.布鲁纳
  • D.瓦?根舍因
查看答案
单选题

班主任工作的中心环节是()。

  • A.全面了解和研究学生
  • B.组织和培养班集体
  • C.做好个别教育工作
  • D.统一各方面的教育力量
查看答案
问答题

如何认识具有中国特点的社会主义改造道路。

查看答案
问答题

如何理解“三个代表”重要思想的历史地位?

查看答案

相关题库更多 +