题目详情

高等数学一(专升本),押题密卷,2022年成人高等考试《高等数学(一)》(专升本)押题密卷

正确答案及解析

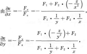
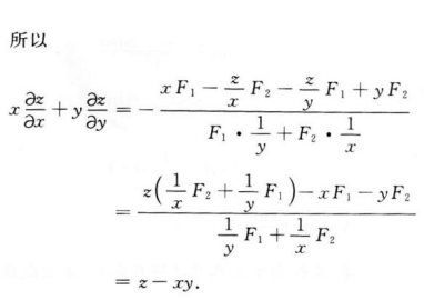
正确答案
解析

高等数学一(专升本),押题密卷,2022年成人高等考试《高等数学(一)》(专升本)押题密卷

高等数学一(专升本),押题密卷,2022年成人高等考试《高等数学(一)》(专升本)押题密卷

包含此试题的试卷

你可能感兴趣的试题

单选题

7月16日,我国智能科技领域的最高奖“( )人工智能科学技术奖”揭晓,共评出66个获奖项目成果。浙江大学潘云鹤院士在计算机美学、数字图书馆、智能城市等领域取得多项重大成果,荣获该奖项的最高成就奖。

  • A.黄昆
  • B.金怡濂
  • C.谷超豪
  • D.吴文俊
查看答案
单选题

近日,全国政协常委、中国佛教协会副会长、中国佛教协会西藏分会会长班禅额尔德尼·确吉杰布在西藏自治区拉萨市主持召开年轻活佛培养教育座谈会。班禅说,藏传佛教传承千年,是佛教( )的具体产物,是中华文化宝库中的一颗璀璨明珠。

  • A.中国化
  • B.制度化
  • C.规范化
  • D.程序化
查看答案
单选题

2022全球数字经济大会以“( )”为主题,定于7月28-30日在北京举办。

  • A.启航数字文明——新要素、新规则、新格局
  • B.激活数据价值 服务数字经济
  • C.激发数据潜能 共赢数字未来
  • D.发挥优势 共创未来——打造数字经济国际合作先行区
查看答案
单选题

7月12日下午,习近平来到新疆大学考察调研时强调,育人的根本在于( )。

  • A.立德
  • B.立学
  • C.树人
  • D.育才
查看答案
单选题

最高法7月15日发布的司法解释进一步明确家庭暴力的形式,( )等均属于家庭暴力。

①冻饿②经常性侮辱③诽谤④威胁⑤跟踪⑥骚扰

  • A.②④⑥
  • B.③④⑤⑥
  • C.②③④⑤⑥
  • D.①②③④⑤⑥
查看答案

相关题库更多 +