
- A.见图A
- B.见图B
- C.见图C
- D.见图D
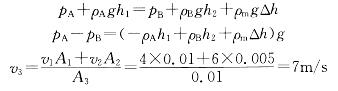
正确答案及解析
正确答案
A
解析
提示 仅受重力作用的静止流体的等压面是水平面。

你可能感兴趣的试题
设A、B、C为三个事件,则A、B、C中至少有两个发生可表示为:
-
- A.AUBUC
- B.A(BUC)
- C.ABUACUBC <img src='http://tp.mxqe.com/data/832/13986025_0.jpg' alt='军队文职数学3,专项训练,军队文职招聘《数学3》超纲' title='军队文职数学3,专项训练,军队文职招聘《数学3》超纲'>
- 查看答案
根据《污水综合排放标准》,对于排入下列水域的污水,需要执行一级标准的有( )。
-
- A.GB 3838中Ⅲ类水域
- B.GB 3097中一类水域
- C.设置二级污水处理厂的城镇排水系统
- D.GB 3838中工类水域
- 查看答案
对生活垃圾卫生填埋场垃圾渗滤液排放正确的说法是( )。
-
- A.不得排入GB 3838—2002中规定的Ⅰ、Ⅱ类水域
- B.对排入GB 3838—2002中规定的Ⅲ类水域的饮用水源保护区排放限制执行一级标准
- C.对排入GB 3838—2002中规定的Ⅴ、Ⅵ类水域排放限制执行一级标准
- D.对排入GB 3838—2002中规定的Ⅲ类水域排放限制执行二级标准
- 查看答案
下面说法正确的是( )。
A 燃料完全燃烧时所需的实际空气量等于理论空气量
B 过剩空气系数决定于燃料种类、燃烧装置形式及燃烧条件
C 随着燃料中的氢相对含量的减少,碳相对含量的增加,理论空燃比随之增加
D 煤燃烧生成的NOx含量少于重油
-
- A.见图A
- B.见图B
- C.见图C
- D.见图D
- 查看答案
某水厂絮凝拟采用机械反应池,单池流量Q=10800m3/d,水力停留时间20min,分三级搅拌,每级容积相同,搅拌强度采用第一级G=60s^-1,第二级G=40s^-1,第三级G=20s^-1,水温20℃(水温20℃时,水的黏度为1.002×10^-3Pa·s,取搅拌效率η1=0.75,传动效率η2=0.8),则该池第二级搅拌机所需电机功率为( )。
A 0.48kW
B 0.30kW
C 0.13kW
D 0.03kW
-
- A.见图A
- B.见图B
- C.见图C
- D.见图D
- 查看答案