题目详情

基础知识,章节练习,土木基础知识真题

基础知识,章节练习,土木基础知识真题

  • A.见图A
  • B.见图B
  • C.见图C
  • D.见图D

正确答案及解析

正确答案
C
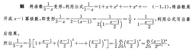
解析

基础知识,章节练习,土木基础知识真题

你可能感兴趣的试题

单选题

专业案例,章节练习,岩溶及特殊岩土体地质

  • A.1号洞室
  • B.2号洞室
  • C.两个一样好
  • D.两个一样差
查看答案
单选题

专业案例,章节练习,岩溶及特殊岩土体地质

  • A.<img src='http://tp.mxqe.com/data/739/13568830_0_1.jpg' alt='专业案例,章节练习,岩溶及特殊岩土体地质' title='专业案例,章节练习,岩溶及特殊岩土体地质'>
  • B.<img src='http://tp.mxqe.com/data/739/13568830_0_2.jpg' alt='专业案例,章节练习,岩溶及特殊岩土体地质' title='专业案例,章节练习,岩溶及特殊岩土体地质'>
  • C.<img src='http://tp.mxqe.com/data/739/13568830_0_3.jpg' alt='专业案例,章节练习,岩溶及特殊岩土体地质' title='专业案例,章节练习,岩溶及特殊岩土体地质'>
  • D.<img src='http://tp.mxqe.com/data/739/13568830_0_4.jpg' alt='专业案例,章节练习,岩溶及特殊岩土体地质' title='专业案例,章节练习,岩溶及特殊岩土体地质'>
查看答案
单选题

专业案例,章节练习,岩溶及特殊岩土体地质

  • A.一般酸型腐蚀
  • B.重碳酸型腐蚀
  • C.硫酸盐型腐蚀
  • D.无腐蚀
查看答案
单选题

专业案例,章节练习,岩溶及特殊岩土体地质

  • A.<img src='http://tp.mxqe.com/data/739/13568824_0_1.jpg' alt='专业案例,章节练习,岩溶及特殊岩土体地质' title='专业案例,章节练习,岩溶及特殊岩土体地质'>
  • B.<img src='http://tp.mxqe.com/data/739/13568824_0_2.jpg' alt='专业案例,章节练习,岩溶及特殊岩土体地质' title='专业案例,章节练习,岩溶及特殊岩土体地质'>
  • C.<img src='http://tp.mxqe.com/data/739/13568824_0_3.jpg' alt='专业案例,章节练习,岩溶及特殊岩土体地质' title='专业案例,章节练习,岩溶及特殊岩土体地质'>
  • D.<img src='http://tp.mxqe.com/data/739/13568824_0_4.jpg' alt='专业案例,章节练习,岩溶及特殊岩土体地质' title='专业案例,章节练习,岩溶及特殊岩土体地质'>
查看答案
单选题

专业案例,章节练习,岩溶及特殊岩土体地质

  • A.次生盐渍化浸没
  • B.涝渍化浸没
  • C.沼泽化浸没
  • D.不浸没
查看答案

相关题库更多 +